版块导航
正在加载中...
客户端APP下载
论文辅导
申博辅导
登录
注册
帖子
帖子
用户
本版
应《网络安全法》要求,自2017年10月1日起,未进行实名认证将不得使用互联网跟帖服务。为保障您的帐号能够正常使用,请尽快对帐号进行手机号验证,感谢您的理解与支持!
24小时热门版块排行榜
>
论坛更新日志
(4315)
>
虫友互识
(481)
>
文献求助
(307)
>
导师招生
(157)
>
休闲灌水
(144)
>
硕博家园
(123)
>
考博
(115)
>
招聘信息布告栏
(96)
>
论文投稿
(61)
>
博后之家
(55)
>
论文道贺祈福
(49)
>
基金申请
(47)
>
找工作
(47)
>
教师之家
(46)
>
绿色求助(高悬赏)
(39)
>
考研
(32)
小木虫论坛-学术科研互动平台
»
专业学科区
»
数学
»
数学综合
»
求助一个简单公式的简化,急急急!~
2
1/1
返回列表
查看: 509 | 回复: 1
只看楼主
@他人
存档
新回复提醒
(忽略)
收藏
在APP中查看
路过有罪
金虫
(小有名气)
应助: 11
(小学生)
金币: 474.4
散金: 126
红花: 4
帖子: 267
在线: 1299.8小时
虫号: 2614922
注册: 2013-08-24
性别: GG
专业: 环境工程
[
求助
]
求助一个简单公式的简化,急急急!~
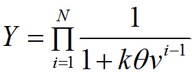
这个公式能不能简化然后把求积号去掉啊?求助。。式中k是常量,Θ和v是变量
[
Last edited by 路过有罪 on 2015-6-25 at 10:45
]
回复此楼
» 猜你喜欢
AI论文写作工具:是科研加速器还是学术作弊器?
已经有5人回复
Bioresource Technology期刊,第一次返修的时候被退回好几次了
已经有8人回复
寻求一种能扛住强氧化性腐蚀性的容器密封件
已经有7人回复
到新单位后,换了新的研究方向,没有团队,持续积累2区以上论文,能申请到面上吗
已经有8人回复
申请2026年博士
已经有6人回复
请问哪里可以有青B申请的本子可以借鉴一下。
已经有5人回复
天津工业大学郑柳春团队欢迎化学化工、高分子化学或有机合成方向的博士生和硕士生加入
已经有5人回复
2025冷门绝学什么时候出结果
已经有7人回复
» 本主题相关价值贴推荐,对您同样有帮助:
有一组数据,三个变量一个因变量,怎么拟合回归出一个强度公式
已经有4人回复
求助关于cfd模拟与实验验证的问题
已经有6人回复
求助一个简单问题,请问用Mathtype和latex分别怎么对公式进行(1a),(1b)编号
已经有3人回复
雨水设计径流总量公式求助
已经有5人回复
求助 1stopt低版本 方程的拟合(含若干未知参数)
已经有10人回复
求助如何推导图片中的公式。
已经有3人回复
求教程~matlab能推导复杂的公式么?听说用matlab中的符号运算?有相关的资料教程么?
已经有11人回复
求助第一性原理算磁性居里温度的公式问题
已经有5人回复
求助:excel输入公式后显示#value,多方求助无果,附原数据
已经有18人回复
origin8.5 自定义方程的非线性拟合问题
已经有10人回复
高悬赏求助大神编写两个公式
已经有18人回复
请教一个关于香农公式的问题!急求!
已经有4人回复
求助一个矢量公式的推导
已经有3人回复
求助用谢乐公式求晶体尺寸问题
已经有7人回复
求助:用谢乐公式计算的晶粒尺寸与TEM差距太大的原因?
已经有8人回复
【求助】帮忙求解一个一元四次方程
已经有9人回复
【求助】关于玻尔兹曼公式
已经有29人回复
【求助】求助焓变计算公式的应用差异
已经有7人回复
关于word中的排版时 公式 显示不完整的问题,求助
已经有6人回复
【求助】请问各位大侠在计算公式中有个“:”这是什么意思
已经有6人回复
【求助】如何在latex里使一个很大的公式变小?【已解决】
已经有6人回复
【求助】这个怪异公式是如何推导出来的?
已经有9人回复
选择了一条道路,就走下去。
1楼
2015-06-24 15:17:20
已阅
回复此楼
关注TA
给TA发消息
送TA红花
TA的回帖
hank612
至尊木虫
(著名写手)
数学EPI: 14
应助: 225
(大学生)
金币: 14270.6
散金: 1055
红花: 95
帖子: 1526
在线: 1375.8小时
虫号: 2530333
注册: 2013-07-03
性别: GG
专业: 理论和计算化学
基本上不会有什么化简公式, 不知道题目中的"简单公式"是基于什么水准的数学家说的: Gödel, Grothendieck, Thurston, McDonald...
可以稍微参考连接
https://en.wikipedia.org/wiki/Q-Pochhammer_symbol
赞
一下
回复此楼
We_must_know. We_will_know.
2楼
2015-06-26 07:13:03
已阅
回复此楼
关注TA
给TA发消息
送TA红花
TA的回帖
相关版块跳转
数理科学综合
机械
物理
数学
农林
食品
地学
能源
信息科学
土木建筑
航空航天
转基因
我要订阅楼主
路过有罪
的主题更新
2
1/1
返回列表
如果回帖内容含有宣传信息,请如实选中。否则帐号将被全论坛禁言
普通表情
龙
兔
虎
猫
百度网盘
|
360云盘
|
千易网盘
|
华为网盘
在新窗口页面中打开自己喜欢的网盘网站,将文件上传后,然后将下载链接复制到帖子内容中就可以了。
信息提示
关闭
请填处理意见
关闭
确定