| 查看: 1467 | 回复: 11 | ||
南风吹捐助贵宾 (正式写手)
|
[求助]
审稿回复意见? 已有6人参与
|
|
|
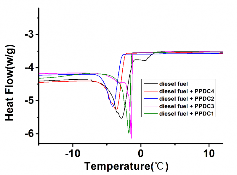
如题,我的一篇文章,老外的意见是The graph could be easily readable of the y-axis is displaced for each system, keeping the same scale附件是我做的DSC图片,请问老外这是啥意思啊?请大神指教!!感激不尽! dsc.png |
» 猜你喜欢
售SCI一区文章,我:8 O5 51O 54,科目齐全,可+急
已经有4人回复
售SCI一区文章,我:8 O5 51O 54,科目齐全,可+急
已经有3人回复
售SCI一区文章,我:8 O5 51O 54,科目齐全,可+急
已经有4人回复
“人文社科而论,许多学术研究还没有达到民国时期的水平”
已经有5人回复
过年走亲戚时感受到了所开私家车的鄙视链
已经有11人回复
什么是人一生最重要的?
已经有4人回复
版面费该交吗
已经有3人回复
今年春晚有几个节目很不错,点赞!
已经有12人回复
体制内长辈说体制内绝大部分一辈子在底层,如同你们一样大部分普通教师忙且收入低
已经有12人回复
基金正文30页指的是报告正文还是整个申请书
已经有5人回复
» 本主题相关价值贴推荐,对您同样有帮助:
4个审稿意见回复写法
已经有4人回复
中文核心期刊审稿意见及编辑意见如何回复?
已经有14人回复
如何回复这种类型的审稿意见啊
已经有7人回复
不同审稿人的审稿意见再我们回复后是否能彼此看到
已经有4人回复
审稿人意见如何答复!
已经有5人回复
审稿意见回复,求助
已经有10人回复
回复审稿意见的时候把大编辑的意见给落下了,想给编辑写道歉信
已经有26人回复
编辑的审稿意见,回复该注意些什么?
已经有7人回复
回复审稿意见时间一般多久
已经有9人回复
这样的审稿意见如何回复
已经有5人回复
审稿意见如何回复
已经有8人回复
回复审稿意见,需要把修改后的内容复制到意见下面吗
已经有4人回复
回复JMCA审稿意见的时间
已经有33人回复
本人第一篇SCI文章,求如何回复审稿人的意见
已经有5人回复
如何回复审稿人意见
已经有17人回复
审稿人的意见该怎么回复
已经有9人回复
审稿人意见如何回复
已经有15人回复
sci如何回复审稿意见,尤其是改格式的审稿意见?
已经有8人回复
回复审稿人的意见时,要不要把改动的地方都写出来
已经有7人回复
如何回复审稿人的意见
已经有7人回复
被拒后,回复审稿人意见如何投出
已经有9人回复
这种审稿意见是什么意思啊?怎么回复好哦
已经有41人回复
请问 对于只有夸奖的审稿人意见,如何回复呢
已经有8人回复
审稿意见怎么回复
已经有3人回复
一天 就回复审稿意见 会不会操之过急?
已经有17人回复
对审稿意见的回复
已经有11人回复
回复审稿意见前的客套话
已经有6人回复
james-james
至尊木虫 (文坛精英)
- 应助: 633 (博士)
- 金币: 39561
- 红花: 117
- 沙发: 17
- 帖子: 28264
- 在线: 2475.2小时
- 虫号: 1446532
- 注册: 2011-10-17
- 专业: 药物化学
2楼2015-06-21 17:03:14
james-james
至尊木虫 (文坛精英)
- 应助: 633 (博士)
- 金币: 39561
- 红花: 117
- 沙发: 17
- 帖子: 28264
- 在线: 2475.2小时
- 虫号: 1446532
- 注册: 2011-10-17
- 专业: 药物化学
3楼2015-06-21 17:04:34
无视军团
版主 (文坛精英)
- 应助: 933 (博后)
- 贵宾: 3.14
- 金币: 96404.7
- 散金: 4115
- 红花: 167
- 沙发: 6324
- 帖子: 41556
- 在线: 2528.4小时
- 虫号: 2478182
- 注册: 2013-05-23
- 性别: GG
- 专业: 高分子合成化学
- 管辖: 高分子
7楼2015-06-21 20:30:24
9楼2015-06-23 22:26:42
10楼2015-06-24 09:39:06
南风吹
捐助贵宾 (正式写手)
- 应助: 0 (幼儿园)
- 金币: 2511.6
- 散金: 1406
- 红花: 3
- 帖子: 584
- 在线: 207.8小时
- 虫号: 1742510
- 注册: 2012-04-07
- 性别: GG
- 专业: 有机高分子功能材料
4楼2015-06-21 19:37:11
南风吹
捐助贵宾 (正式写手)
- 应助: 0 (幼儿园)
- 金币: 2511.6
- 散金: 1406
- 红花: 3
- 帖子: 584
- 在线: 207.8小时
- 虫号: 1742510
- 注册: 2012-04-07
- 性别: GG
- 专业: 有机高分子功能材料
5楼2015-06-21 19:38:22
james-james
至尊木虫 (文坛精英)
- 应助: 633 (博士)
- 金币: 39561
- 红花: 117
- 沙发: 17
- 帖子: 28264
- 在线: 2475.2小时
- 虫号: 1446532
- 注册: 2011-10-17
- 专业: 药物化学
6楼2015-06-21 19:53:02
南风吹
捐助贵宾 (正式写手)
- 应助: 0 (幼儿园)
- 金币: 2511.6
- 散金: 1406
- 红花: 3
- 帖子: 584
- 在线: 207.8小时
- 虫号: 1742510
- 注册: 2012-04-07
- 性别: GG
- 专业: 有机高分子功能材料
8楼2015-06-22 12:32:58













回复此楼