| 查看: 1334 | 回复: 9 | |||
砂锅米线木虫 (小有名气)
|
[求助]
求助二元含积分函数的拟合 已有2人参与
|
| 是含有两个变量的函数,有三参数,带一个定积分,想问问用什么软件可以处理? |
» 本帖附件资源列表
-
欢迎监督和反馈:小木虫仅提供交流平台,不对该内容负责。
本内容由用户自主发布,如果其内容涉及到知识产权问题,其责任在于用户本人,如对版权有异议,请联系邮箱:xiaomuchong@tal.com - 附件 1 : 想求参数.docx
2015-06-11 12:18:47, 18.16 K
» 猜你喜欢
南开大学物理学院张书辉副教授招收凝聚态物理理论方向博士生、硕士生
已经有22人回复
杂志要求提供official language-editing certificate
已经有4人回复
物理学I论文润色/翻译怎么收费?
已经有185人回复
深圳大学2026年秋博士招生-物理学-活性胶体方向-高永祥课题组
已经有17人回复
论物质与能量的统一模型及物理现象解释
已经有0人回复
基于基元I统一理论的数学相关应用推导
已经有0人回复
基元I统一理论:宇宙本质、层级演化与修炼文明的本源规律
已经有1人回复
基元I理论下三大核心空间现象精准推导与细节解析
已经有0人回复
基于基元 I 统一理论的反重力理论推导
已经有0人回复
基于基元I统一理论的量子力学本源推导
已经有1人回复
推荐一款可以AI辅助写作的Latex编辑器SmartLatexEditor,超级好用,AI润色,全免费
已经有11人回复
» 本主题相关价值贴推荐,对您同样有帮助:
origin 函数拟合求助
已经有13人回复
求教关于origin8.0 自定义函数拟合方面的问题
已经有5人回复
急!在用origin进行非线性拟合怎样创建新的拟合函数?
已经有14人回复
地统计模块能进行半变异函数拟合和特异值识别吗?怎么做?
已经有7人回复
在用nlinfit对非线性函数拟合时遇到的一些问题请教
已经有5人回复
用含有定积分的隐函数拟合数据,matlab或者origin
已经有18人回复
origin 里 “三次样条函数拟合” 与“三次多项式拟合”是一回事吗?如图
已经有3人回复
求助在SAS中用logistic 函数拟合曲线回归方程的程序,谢谢!
已经有5人回复
Excel 幂函数拟合
已经有7人回复
Aguado-Paniagua函数拟合
已经有6人回复
matlab中用工具箱得到拟合函数,重新定义后求值作图,结果与cftool中图形不同,why
已经有9人回复
求助一个逻辑斯蒂函数的拟合
已经有8人回复
mathematica能进行二元非线性拟合吗
已经有3人回复
用matlab里的nlinfit如何拟合分段函数
已经有8人回复
matlab高手帮忙做个自定义复杂函数拟合,含有复数,
已经有25人回复
请问matlab拟合二元方程的问题
已经有3人回复
非线性最小二乘拟合(初值问题)lsqcurvefit 函数的设定
已经有14人回复
origin进行非线性拟合如何选择函数或者自定义合适的函数
已经有19人回复
关于Origin 中输入新函数并拟合数据的问题,重谢200个
已经有8人回复
【求助】急求关于matlab做非线性拟合的函数
已经有8人回复
【求助】如何同时拟合两条曲线或者两个函数!【已解决】
已经有7人回复
【求助】二元函数拟合
已经有12人回复
2楼2015-06-11 12:24:02
砂锅米线
木虫 (小有名气)
- 应助: 0 (幼儿园)
- 金币: 1528.4
- 散金: 27
- 帖子: 105
- 在线: 55小时
- 虫号: 2515967
- 注册: 2013-06-21
- 性别: MM
- 专业: 能源化工
3楼2015-06-11 12:37:03
砂锅米线
木虫 (小有名气)
- 应助: 0 (幼儿园)
- 金币: 1528.4
- 散金: 27
- 帖子: 105
- 在线: 55小时
- 虫号: 2515967
- 注册: 2013-06-21
- 性别: MM
- 专业: 能源化工
4楼2015-06-11 12:38:01

5楼2015-06-11 13:33:11
dingd
铁杆木虫 (职业作家)
- 计算强帖: 4
- 应助: 1641 (讲师)
- 金币: 15037.3
- 散金: 101
- 红花: 234
- 帖子: 3410
- 在线: 1223.7小时
- 虫号: 291104
- 注册: 2006-10-28
6楼2015-06-11 13:54:46
|
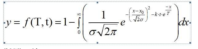
识别结果不好,@dingd试试 Variable dt, t, y; Function y=1-int((1/(sigma*sqrt(2*pi)))*exp(-((x-x0)/(sqrt(2)*sigma))^2-k*t*exp(-x/dt)),x=0,99999999999999); Data; //dt t y 1173 0 1 1173 0.077482 0.95717 1173 0.10330933 0.91163 1173 0.154964 0.83051 1173 0.20661866 0.755 1173 0.25827333 0.69921 1173 0.32284166 0.3986 1173 0.38740999 0.45749 1273 0 1 1273 0.0801735 0.91824 1273 0.106898 0.76553 1273 0.160347 0.71818 1273 0.213796 0.57402 1273 0.267245 0.56388 1273 0.33405625 0.33388 1273 0.4008675 0.3067 1373 0 1 1373 0.08254919 0.78481 1373 0.11006558 0.5583 1373 0.16509837 0.38738 1373 0.22013116 0.28268 1373 0.27516395 0.29965 1373 0.34395494 0.22798 1373 0.41274593 0.25209 1473 0 1 1473 0.08464252 0.65689 1473 0.11285669 0.4361 1473 0.16928504 0.28676 1473 0.22571339 0.20787 1473 0.28214173 0.19569 1473 0.35267716 0.18373 1473 0.4232126 0.19919 1573 0 1 1573 0.08647723 0.4396 1573 0.11530297 0.25112 1573 0.17295446 0.19576 1573 0.23060594 0.15185 1573 0.28825743 0.16205 1573 0.36032178 0.16501 1573 0.43238614 0.16407 |
» 本帖已获得的红花(最新10朵)

7楼2015-06-11 13:58:04
8楼2015-06-11 14:29:49
月只蓝
主管区长 (职业作家)
-

专家经验: +1059 - 计算强帖: 8
- 应助: 1712 (讲师)
- 贵宾: 8.888
- 金币: 68123.7
- 散金: 1938
- 红花: 443
- 沙发: 4
- 帖子: 4373
- 在线: 3291.4小时
- 虫号: 1122189
- 注册: 2010-10-14
- 专业: 宇宙学
- 管辖: 计算模拟区

9楼2015-06-11 14:39:44
砂锅米线
木虫 (小有名气)
- 应助: 0 (幼儿园)
- 金币: 1528.4
- 散金: 27
- 帖子: 105
- 在线: 55小时
- 虫号: 2515967
- 注册: 2013-06-21
- 性别: MM
- 专业: 能源化工
10楼2015-06-12 10:45:36













回复此楼
砂锅米线