版块导航
正在加载中...
客户端APP下载
论文辅导
申博辅导
登录
注册
帖子
帖子
用户
本版
应《网络安全法》要求,自2017年10月1日起,未进行实名认证将不得使用互联网跟帖服务。为保障您的帐号能够正常使用,请尽快对帐号进行手机号验证,感谢您的理解与支持!
24小时热门版块排行榜
>
论坛更新日志
(452)
>
休闲灌水
(63)
>
导师招生
(33)
>
虫友互识
(18)
>
论文投稿
(12)
>
硕博家园
(11)
>
教师之家
(8)
>
考博
(7)
>
基金申请
(5)
>
招聘信息布告栏
(4)
>
博后之家
(4)
>
论文道贺祈福
(4)
>
外文书籍求助
(4)
>
访问学者
(1)
>
文献求助
(1)
>
生物科学
(1)
小木虫论坛-学术科研互动平台
»
计算模拟区
»
计算模拟
»
关于Origin 中输入新函数并拟合数据的问题,重谢200个
9
1/1
返回列表
查看: 2431 | 回复: 8
只看楼主
@他人
存档
新回复提醒
(忽略)
收藏
在APP中查看
longyoung
木虫
(正式写手)
应助: 7
(幼儿园)
金币: 2289.1
帖子: 594
在线: 273.3小时
虫号: 699415
[交流]
关于Origin 中输入新函数并拟合数据的问题,重谢200个
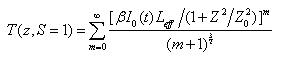
如图所示:公式中Zo,Leff,Io为常数,
现在有两列数据 分别代表Z和T,想通过所示公式拟合,得到β值,请问该如何处理?
如何在Origin中输入图片中所示公式,并进行参数设置,拟合??
麻烦回复的详细一点,对Origin不是很精通
回复此楼
» 收录本帖的淘帖专辑推荐
有用的资源
origin软件使用
» 猜你喜欢
笼目材料中量子自旋液体基态的证据
已经有0人回复
数学教学论硕士可以读数学物理博士吗?
已经有0人回复
物理学I论文润色/翻译怎么收费?
已经有239人回复
德国亥姆霍兹Hereon中心汉堡分部招镁合金腐蚀裂变SCC课题方向2026公派博士生
已经有4人回复
澳门大学 应用物理及材料工程研究院 潘晖教授课题组诚招博士后
已经有11人回复
求助NH4V4O10晶体的CIF文件
已经有0人回复
英国全奖博士招聘-深度学习与量子物理
已经有0人回复
间接带隙半导体有效质量求助
已经有1人回复
投稿chemical physical letters不送审?
已经有2人回复
南开大学物理学院张书辉副教授招收凝聚态物理理论方向博士生、硕士生
已经有20人回复
杂志要求提供official language-editing certificate
已经有2人回复
高级回复
» 本主题相关价值贴推荐,对您同样有帮助:
origin 8.0 对数函数拟合
已经有13人回复
为什么同样的数据,origin 和excel做成的拟合公式不同?
已经有13人回复
SAS做数据拟合,解决问题者重谢
已经有17人回复
关于origin里面的非线性拟合的问题
已经有6人回复
origin进行自定义函数的拟合
已经有3人回复
origin多组数据如何用一条曲线拟合
已经有11人回复
【求助】zsimpwin 软件拟合图谱的数据如何输出到origin作图?
已经有25人回复
有关origin曲线拟合的问题
已经有7人回复
origin多组数据用一条曲线拟合
已经有20人回复
请教如何用origin 对柱状图数据拟合
已经有3人回复
【求助】关于数据拟合转换成origin图
已经有5人回复
【求助】origin曲线拟合问题
已经有2人回复
origin7.5建立函数拟合为什么会这样?
已经有11人回复
请教关于origin中自定义函数非线性回归拟合问题!
已经有10人回复
» 抢金币啦!回帖就可以得到:
查看全部散金贴
南方科技大学周友运课题组诚聘博士后、科研助理
+
1
/184
“超分子材料交叉研究团队”联合诚聘博士后 [清华/吉大/复旦/北大]
+
1
/79
【2026/2027 哈工大计算机类博士招生】
+
1
/78
东北大学-招收2026年硕士研究生2-3名(金属材料3D打印方向)
+
5
/40
中山大学农业与生物技术学院周潇峰课题组诚聘微生物/植物病理学方向科研助理
+
1
/28
【青岛大学】2026年生物与医药申请考核制博士生招生(含少数民族骨干人才)
+
1
/28
中国科学院上海光学精密机械研究所 特种强激光薄膜课题组
+
1
/26
武汉大学博士生/直博生招聘(微纳光驱动与片上光子学)
+
5
/20
华南理工大学宋波教授招聘材料和化学方向博士后(长期有效)
+
1
/15
博士后, 博士招生 美国大纽约地区 NJIT
+
1
/11
美国密苏里大学堪萨斯城分校(UMKC)生物材料诚聘全奖博士
+
1
/11
2026年天津大学杰青团队招收化学合成、计算机和器件的方面博士
+
1
/11
山东大学集成电路学院王凌云研究员招收2026年硕士生及联合培养硕士生
+
1
/6
福建师范大学柔性电子学院 院士团队招2026级博士 光电器件、发光传感忆阻器
+
1
/3
福建师范大学柔性电子学院 院士团队招2026级博士 光电器件、发光传感忆阻器
+
1
/3
山东大学集成电路学院太赫兹团队博士招生(2026年2月底前)
+
1
/3
【博士后/科研助理招聘-北京理工大学-集成电路与电子学院-国家杰青团队】
+
1
/2
华南理工大学宋波教授招收2026年博士生(二氧化碳有机、高分子和光电生物催化还原)
+
1
/2
中南民族大学-国家级领军人才团队超支化聚合物方向2026年博士研究生招生
+
1
/1
中山大学农业与生物技术学院周潇峰课题组诚聘微生物/植物病理学方向科研助理
+
1
/1
1楼
2011-04-08 11:38:12
已阅
回复此楼
关注TA
给TA发消息
送TA红花
TA的回帖
zengyj
银虫
(小有名气)
应助: 0
(幼儿园)
金币: 409.4
帖子: 181
在线: 10.3小时
虫号: 571297
不会 支持一下
回复此楼
2楼
2011-04-08 12:00:07
已阅
回复此楼
关注TA
给TA发消息
送TA红花
TA的回帖
ly9309
木虫
(小有名气)
应助: 4
(幼儿园)
金币: 1549
帖子: 219
在线: 164.5小时
虫号: 977939
板凳。。。
回复此楼
3楼
2011-04-08 12:13:31
已阅
回复此楼
关注TA
给TA发消息
送TA红花
TA的回帖
booq
金虫
(小有名气)
应助: 4
(幼儿园)
金币: 1037.2
帖子: 127
在线: 132小时
虫号: 1069055
longyoung(金币+10): 2011-04-08 14:54:31
第一步:Analysis ->Fitting -> Nolinear curve fitting ->Open dialog 或快捷键 Ctrl+Y
这个就是非线性拟合的主控对话框,包括选定内置函数输入自定义函数,拟合以及相关输入输出控制等
第二步:在对话框中,左边为setting选项,右边的Function下拉菜单中选“New”;
第三步:输入函数,初始化参数;
第四步: 主控对话框,选定你的自定义函数,go ahead!
赞
一下
回复此楼
4楼
2011-04-08 12:52:47
已阅
回复此楼
关注TA
给TA发消息
送TA红花
TA的回帖
longyoung
木虫
(正式写手)
应助: 7
(幼儿园)
金币: 2289.1
帖子: 594
在线: 273.3小时
虫号: 699415
引用回帖:
Originally posted by
booq
at 2011-04-08 12:52:47:
第一步:Analysis ->Fitting -> Nolinear curve fitting ->Open dialog 或快捷键 Ctrl+Y
这个就是非线性拟合的主控对话框,包括选定内置函数输入自定义函数,拟合以及相关输入输出控制等
第二步:在 ...
谢谢,这些步骤我知道,
但是如何输入 求和符号呢?
还有新建的函数,如何设置参数呢?
谢谢
赞
一下
回复此楼
5楼
2011-04-08 14:54:16
已阅
回复此楼
关注TA
给TA发消息
送TA红花
TA的回帖
booq
金虫
(小有名气)
应助: 4
(幼儿园)
金币: 1037.2
帖子: 127
在线: 132小时
虫号: 1069055
longyoung(金币+10): 谢谢 指导哈 2011-04-08 21:05:08
引用回帖:
Originally posted by
longyoung
at 2011-04-08 14:54:16:
谢谢,这些步骤我知道,
但是如何输入 求和符号呢?
还有新建的函数,如何设置参数呢?
谢谢
好,C语言会吧
图1,输入函数变量及参数,以及实现函数的语言。
图2,是一个加法的例子。
赞
一下
回复此楼
6楼
2011-04-08 15:21:09
已阅
回复此楼
关注TA
给TA发消息
送TA红花
TA的回帖
longyoung
木虫
(正式写手)
应助: 7
(幼儿园)
金币: 2289.1
帖子: 594
在线: 273.3小时
虫号: 699415
引用回帖:
Originally posted by
booq
at 2011-04-08 15:21:09:
好,C语言会吧
图1,输入函数变量及参数,以及实现函数的语言。
图2,是一个加法的例子。
哥们,你给的图我们已经知道了,简单的函数输入 并拟合 ,晓得
比如 我要求的公式中 那个复杂的函数 如何直接输入公式,并求和 !
另外:请问,实现求和 需要编程吗??
赞
一下
回复此楼
7楼
2011-04-08 16:48:44
已阅
回复此楼
关注TA
给TA发消息
送TA红花
TA的回帖
booq
金虫
(小有名气)
应助: 4
(幼儿园)
金币: 1037.2
帖子: 127
在线: 132小时
虫号: 1069055
longyoung(金币+5): 非常感谢 2011-04-09 15:06:09
引用回帖:
Originally posted by
longyoung
at 2011-04-08 16:48:44:
哥们,你给的图我们已经知道了,简单的函数输入 并拟合 ,晓得
比如 我要求的公式中 那个复杂的函数 如何直接输入公式,并求和 !
另外:请问,实现求和 需要编程吗??
我做过类似的拟合。只有两种方式:自定义函数,或者直接明确的写出函数表达式。没有找到其它的了。
Origin没有此功能。matlab也可实现,但是方式基本一样,都需要编程自定义函数。
赞
一下
回复此楼
8楼
2011-04-08 22:08:11
已阅
回复此楼
关注TA
给TA发消息
送TA红花
TA的回帖
yuffey
新虫
(著名写手)
应助: 548
(博士)
贵宾: 0.387
金币: -5189.2
帖子: 2431
在线: 261.3小时
虫号: 224170
longyoung(金币+5): 2011-04-11 08:26:35
目前origin版本功能的确如此
赞
一下
回复此楼
9楼
2011-04-10 22:23:58
已阅
回复此楼
关注TA
给TA发消息
送TA红花
TA的回帖
相关版块跳转
第一性原理
量子化学
计算模拟
分子模拟
仿真模拟
程序语言
我要订阅楼主
longyoung
的主题更新
9
1/1
返回列表
如果回帖内容含有宣传信息,请如实选中。否则帐号将被全论坛禁言
普通表情
龙
兔
虎
猫
高级回复
(可上传附件)
百度网盘
|
360云盘
|
千易网盘
|
华为网盘
在新窗口页面中打开自己喜欢的网盘网站,将文件上传后,然后将下载链接复制到帖子内容中就可以了。
信息提示
关闭
请填处理意见
关闭
确定