| ²é¿´: 1728 | »Ø¸´: 5 | |||
946528753ͳæ (СÓÐÃûÆø)
|
[ÇóÖú]
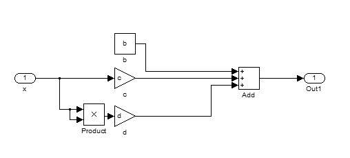
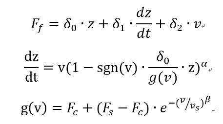
ÔÚÓÃnlinfit¶Ô·ÇÏßÐÔº¯ÊýÄâºÏʱÓöµ½µÄһЩÎÊÌâÇë½Ì ÒÑÓÐ1È˲ÎÓë
|
||
![]() |
|||
|
|
|||
ÔÂÖ»À¶Ö÷¹ÜÇø³¤ (Ö°Òµ×÷¼Ò)
|
|||
![]() |
|||
|
2Â¥2014-06-25 15:41:47
|
|
||
946528753ͳæ (СÓÐÃûÆø)
|
|
||
![]() |
|||
|
3Â¥2014-06-25 16:05:01
|
|
||
ÔÂÖ»À¶Ö÷¹ÜÇø³¤ (Ö°Òµ×÷¼Ò)
|
|||
![]() |
|||
|
4Â¥2014-06-25 16:09:49
|
|
||
946528753ͳæ (СÓÐÃûÆø)
|
|||
![]() |
|||
|
5Â¥2014-06-25 16:26:11
|
|
||
renhugÒø³æ (СÓÐÃûÆø)
|
|||
![]() |
|||
|
6Â¥2014-11-27 10:29:12
|
|













»Ø¸´´ËÂ¥
