24СʱÈÈÃŰæ¿éÅÅÐаñ    

Znn3bq.jpeg
ÉÇÍ·´óѧº£Ñó¿ÆÑ§½ÓÊܵ÷¼Á
²é¿´: 4320  |  »Ø¸´: 2

micalhe

½ð³æ (СÓÐÃûÆø)

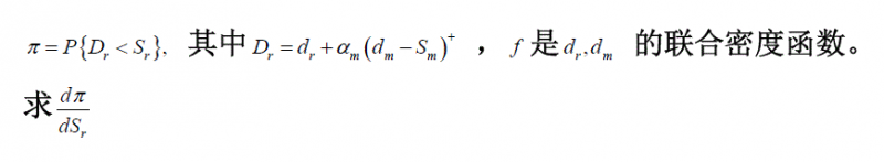
[ÇóÖú] Çó³öÒ»¸ö¶Ô·Ö²¼º¯ÊýÇóµ¼µÄÎÊÌâ

¹«Ê½¼ûͼƬ
Çó³öÒ»¸ö¶Ô·Ö²¼º¯ÊýÇóµ¼µÄÎÊÌâ
3.PNG



[ Last edited by feixiaolin on 2015-5-9 at 08:09 ]
»Ø¸´´ËÂ¥

» ²ÂÄãϲ»¶

» ±¾Ö÷ÌâÏà¹Ø¼ÛÖµÌùÍÆ¼ö£¬¶ÔÄúͬÑùÓаïÖú:

Life is about becoming
ÒÑÔÄ   »Ø¸´´ËÂ¥   ¹Ø×¢TA ¸øTA·¢ÏûÏ¢ ËÍTAºì»¨ TAµÄ»ØÌû

feixiaolin

ÈÙÓþ°æÖ÷ (ÎÄ̳¾«Ó¢)

ÓÅÐã°æÖ÷

SmʲôÒâ˼£¿
2Â¥2015-05-09 08:10:35
ÒÑÔÄ   »Ø¸´´ËÂ¥   ¹Ø×¢TA ¸øTA·¢ÏûÏ¢ ËÍTAºì»¨ TAµÄ»ØÌû

micalhe

½ð³æ (СÓÐÃûÆø)

Sr,Sm¶¼ÊǶ©»õÁ¿
Life is about becoming
3Â¥2015-05-09 16:43:42
ÒÑÔÄ   »Ø¸´´ËÂ¥   ¹Ø×¢TA ¸øTA·¢ÏûÏ¢ ËÍTAºì»¨ TAµÄ»ØÌû
Ïà¹Ø°æ¿éÌø×ª ÎÒÒª¶©ÔÄÂ¥Ö÷ micalhe µÄÖ÷Ìâ¸üÐÂ
×î¾ßÈËÆøÈÈÌûÍÆ¼ö [²é¿´È«²¿] ×÷Õß »Ø/¿´ ×îºó·¢±í
[¿¼ÑÐ] 279Çóµ÷¼Á +11 ÕÅ·¬ÇѲ»³´µ° 2026-04-11 11/550 2026-04-13 22:25 by zhq0425
[¿¼ÑÐ] 335Çóµ÷¼Á +18 ÏëÉϰ¶Ñ½£¡£¡ 2026-04-12 19/950 2026-04-13 14:15 by ÕÅzhihao
[¿¼ÑÐ] 266µ÷¼Á +10 daya sun 2026-04-07 11/550 2026-04-13 10:12 by fenglj492
[¿¼ÑÐ] Ò»Ö¾Ô¸»ª¹¤085600 331·Ö +7 ÌìÏÂww 2026-04-09 7/350 2026-04-13 09:01 by lhj2009
[¿¼ÑÐ] 344 ²ÄÁÏרҵ Çóµ÷¼Á211 ÎÞµØÓòÒªÇó +8 hualkop 2026-04-11 8/400 2026-04-12 22:24 by fqwang
[¿¼ÑÐ] ²ÄÁÏÓ뻯¹¤300Çóµ÷¼Á +39 Ф¿ªÎÄ 2026-04-09 43/2150 2026-04-12 01:30 by Çï¶¹²ËÑ¿
[¿¼ÑÐ] Ò»Ö¾Ô¸Ïôó0856£¬306Çóµ÷¼Á +15 Bblinging 2026-04-11 15/750 2026-04-11 22:53 by 314126402
[¿¼ÑÐ] µ÷¼Á +10 Ö»ÐðÀë±ð´Ç 2026-04-09 12/600 2026-04-11 20:57 by ÄæË®³Ë·ç
[¿¼ÑÐ] 070300»¯Ñ§279Çóµ÷¼Á +19 ¹þ¹þ¹þ^_^ 2026-04-08 20/1000 2026-04-11 20:43 by stoner78
[¿¼ÑÐ] 085410-273Çóµ÷¼Á +6 X1999 2026-04-10 6/300 2026-04-11 10:32 by Delta2012
[¿¼ÑÐ] ¹ã¶«Ê¡ 085601 329·ÖÇóµ÷¼Á +14 Eddieddd 2026-04-10 14/700 2026-04-11 09:58 by bljnqdcc
[¿¼ÑÐ] 346£¬¹¤¿Æ0854Çóµ÷¼Á£¬×¨Ë¶ +7 moser233 2026-04-10 8/400 2026-04-11 08:52 by Öí»á·É
[¿¼ÑÐ] Ò»Ö¾Ô¸211£¬»¯Ñ§310·Ö£¬±¾¿ÆÖصãË«·Ç£¬Çóµ÷¼Á +23 ŬÁ¦·Ü¶·112 2026-04-08 23/1150 2026-04-10 23:29 by 314126402
[¿¼ÑÐ] ²ÄÁÏÀà284µ÷¼Á +40 Ïë»»ÊÖ»ú²»Ïë½âÊ 2026-04-08 48/2400 2026-04-10 23:28 by 314126402
[¿¼ÑÐ] 296Çóµ÷¼Á +6 Íô£¡£¿£¡ 2026-04-08 6/300 2026-04-10 11:02 by mattzhming
[¿¼ÑÐ] һ־Ը³¶«´óѧ071000ÉúÎïѧѧ˶³õÊÔ·ÖÊý276Çóµ÷¼Á +20 Ľ¾øcc 2026-04-09 24/1200 2026-04-10 10:22 by xujun0624
[¿¼ÑÐ] Çóµ÷¼Á +3 ÖíÈâ¶Õ·ÛÌõcc 2026-04-08 4/200 2026-04-09 10:05 by ÖíÈâ¶Õ·ÛÌõcc
[¿¼ÑÐ] 286Çóµ÷¼Á +19 Faune 2026-04-08 20/1000 2026-04-09 08:36 by ŶŶ123
[¿¼ÑÐ] »úе¹¤³Ì313·ÖÕÒ¹¤¿Æµ÷¼Á +3 ˫һÁ÷±¾¿Æ»úе 2026-04-08 3/150 2026-04-08 20:41 by ÍÁľ˶ʿÕÐÉú
[¿¼ÑÐ] »úеµ÷¼Á +3 zzzbcb 2026-04-07 3/150 2026-04-07 22:19 by hemengdong
ÐÅÏ¢Ìáʾ
ÇëÌî´¦ÀíÒâ¼û