²é¿´: 337  |  »Ø¸´: 2

qiang0107

Ìú¸Ëľ³æ (ÖøÃûдÊÖ)

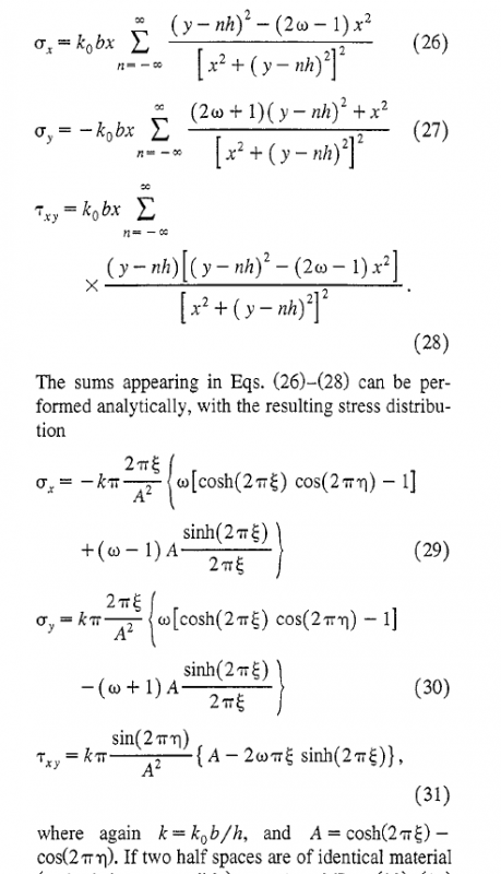
[ÇóÖú] ¼±¼±¼±£¡ÇóÖúÒ»¸ö¹«Ê½ÍƵ¼¹ý³Ì£¬Ê®·Ö¸Ðл£¡ ÒÑÓÐ1È˲ÎÓë

ÆäÖУ¬Èôn¸ÄΪ´Ó0µ½ÎÞÇî´ó£¬ÓÖ¸ÃÈçºÎÍÆµ¼ÄØ£¬²»Ê¤¸Ð¼¤£¡

¼±¼±¼±£¡ÇóÖúÒ»¸ö¹«Ê½ÍƵ¼¹ý³Ì£¬Ê®·Ö¸Ðл£¡
Ó¦Á¦¹«Ê½ÍƵ¼.png
»Ø¸´´ËÂ¥

» ²ÂÄãϲ»¶

» ±¾Ö÷ÌâÏà¹Ø¼ÛÖµÌùÍÆ¼ö£¬¶ÔÄúͬÑùÓаïÖú:

ÒÑÔÄ   ¹Ø×¢TA ¸øTA·¢ÏûÏ¢ ËÍTAºì»¨ TAµÄ»ØÌû

niuniuma521

ľ³æ (ÖøÃûдÊÖ)

¸Ðл²ÎÓ룬ӦÖúÖ¸Êý +1
ºìÖÛÁ÷ÐÇ: Ó¦ÖúÖ¸Êý-1, ÇëÕýÈ·Ñ¡ÔñÊÇ·ñÓ¦Öú 2015-05-15 19:59:29
ÎÒ¸ßÊýÒ²ÊÇÀõÄÒ»ËúºýÍ¿£¬¼ÇµÃµ±³õ¶¼ÊÇÀÏʦ·Å¹ýµÄ£¬ºóÀ´ÎÒÍ´¶¨Ë¼Í´£¬Ò»¶¨ÒªÕùÕâ¿ÚÆø£¬ÓÈÆäÊÇÊýѧÊÇ»ù´¡ÖеĻù´¡£¬¶ÁÑп¼²©È«¿¿ËüÁË£¬ËùÒÔÎÒÿÌì¶¼¿´¸ßÊý£¬£¬£¬£¬Ò»Äêºó£¬ÎÒ·ÅÆúÁË£¬ÉÓ´ø×ÅÒ²·ÅÆúÁËÎÒ¿¼ÑжÁ²©µÄÄîÍ·£¬£¬£¬£¬

[ ·¢×ÔСľ³æ¿Í»§¶Ë ]
³èÈè²»¾ª£¬ÍòÊÂËæÐÄ
2Â¥2015-05-07 22:59:54
ÒÑÔÄ   ¹Ø×¢TA ¸øTA·¢ÏûÏ¢ ËÍTAºì»¨ TAµÄ»ØÌû

qiang0107

Ìú¸Ëľ³æ (ÖøÃûдÊÖ)

ÒýÓûØÌû:
2Â¥: Originally posted by niuniuma521 at 2015-05-07 22:59:54
ÎÒ¸ßÊýÒ²ÊÇÀõÄÒ»ËúºýÍ¿£¬¼ÇµÃµ±³õ¶¼ÊÇÀÏʦ·Å¹ýµÄ£¬ºóÀ´ÎÒÍ´¶¨Ë¼Í´£¬Ò»¶¨ÒªÕùÕâ¿ÚÆø£¬ÓÈÆäÊÇÊýѧÊÇ»ù´¡ÖеĻù´¡£¬¶ÁÑп¼²©È«¿¿ËüÁË£¬ËùÒÔÎÒÿÌì¶¼¿´¸ßÊý£¬£¬£¬£¬Ò»Äêºó£¬ÎÒ·ÅÆúÁË£¬ÉÓ´ø×ÅÒ²·ÅÆúÁËÎÒ¿¼ÑжÁ²©µÄÄîÍ·£¬ ...

ÊýѧȷʵºÜÖØÒª°¡

[ ·¢×ÔСľ³æ¿Í»§¶Ë ]
3Â¥2015-05-07 23:12:05
ÒÑÔÄ   ¹Ø×¢TA ¸øTA·¢ÏûÏ¢ ËÍTAºì»¨ TAµÄ»ØÌû
Ïà¹Ø°æ¿éÌø×ª ÎÒÒª¶©ÔÄÂ¥Ö÷ qiang0107 µÄÖ÷Ìâ¸üÐÂ
×î¾ßÈËÆøÈÈÌûÍÆ¼ö [²é¿´È«²¿] ×÷Õß »Ø/¿´ ×îºó·¢±í
[¿¼ÑÐ] 292Çóµ÷¼Á +4 ¶ì¶ì¶ì¶î¶î¶î¶î¶ 2026-03-24 4/200 2026-03-24 16:41 by peike
[²ÄÁϹ¤³Ì] Ò»Ö¾Ô¸C9²ÄÁÏÓ뻯¹¤×¨Òµ×Ü·Ö300Çóµ÷¼Á +4 Âü111 2026-03-24 5/250 2026-03-24 15:44 by ÐÇ¿ÕÐÇÔÂ
[¿¼ÑÐ] 307Çóµ÷¼Á +3 ÓàÒâÇä 2026-03-21 6/300 2026-03-24 15:03 by ÓàÒâÇä
[¿¼ÑÐ] Çóµ÷¼ÁÒ»Ö¾Ô¸Î人Àí¹¤´óѧ²ÄÁϹ¤³Ì£¨085601£© +5 WW.' 2026-03-23 7/350 2026-03-24 14:50 by sprinining
[¿¼ÑÐ] ¡¾Ë«Ò»Á÷ԺУÐÂÄÜÔ´¡¢»·¾³²ÄÁÏ£¬²ÄÁϼӹ¤ÓëÄ£ÄâÕÐÊÕ´óÁ¿µ÷¼Á¡¿ +4 Higraduate 2026-03-22 7/350 2026-03-24 11:23 by ÖÖ´óÊ÷
[¿¼ÑÐ] 284Çóµ÷¼Á +10 Zhao anqi 2026-03-22 10/500 2026-03-24 00:08 by Equinoxhua
[¿¼ÑÐ] 0854 ¿¼Ñе÷¼Á ÕÐÉúÁË£¡AI ·½Ïò +4 pk3725069 2026-03-19 16/800 2026-03-23 23:09 by Íô£¡£¿£¡
[¿¼ÑÐ] 070300»¯Ñ§Çóµ÷¼Á +8 Ô·¶¹¶¹ 2026-03-20 8/400 2026-03-23 20:57 by baobaoye
[¿¼ÑÐ] »¯Ñ§308·ÖÇóµ÷¼Á +3 ÄãºÃÃ÷ÌìÄãºÃ 2026-03-23 3/150 2026-03-23 20:11 by macy2011
[¿¼ÑÐ] Ò»Ö¾Ô¸ÎäÀí²ÄÁϹ¤³Ì348Çóµ÷¼Á +6 £þ^£þ©bº¹ 2026-03-19 9/450 2026-03-23 19:53 by pswait
[¿¼ÑÐ] Ò»Ö¾Ô¸ÉÂʦ´óÉúÎïѧ071000£¬298·Ö£¬Çóµ÷¼Á +3 SYA£¡ 2026-03-23 3/150 2026-03-23 19:09 by macy2011
[¿¼ÑÐ] ʯºÓ×Ó´óѧ£¨211¡¢Ë«Ò»Á÷£©Ë¶²©Ñо¿Éú³¤ÆÚÕÐÉú¹«¸æ +3 Àî×ÓÄ¿ 2026-03-22 3/150 2026-03-22 21:01 by ÔõôÊÍ»³
[¿¼ÑÐ] Ò»Ö¾Ô¸»ªÖпƼ¼´óѧ071000£¬Çóµ÷¼Á +4 ÑØ°¶Óб´¿Ç6 2026-03-21 4/200 2026-03-22 07:21 by ilovexiaobin
[¿¼ÑÐ] 311Çóµ÷¼Á +3 Ó¸ҵÄСÎâ 2026-03-20 3/150 2026-03-21 17:40 by ColorlessPI
[¿¼ÑÐ] 22408 344·Ö Çóµ÷¼Á Ò»Ö¾Ô¸ »ªµç¼ÆËã»ú¼¼Êõ +4 solanXXX 2026-03-20 4/200 2026-03-20 23:49 by alg094825
[¿¼ÑÐ] 317Çóµ÷¼Á +5 Éê×ÓÉêÉê 2026-03-19 9/450 2026-03-20 22:26 by JourneyLucky
[¿¼ÑÐ] Ò»Ö¾Ô¸¼ªÁÖ´óѧ²ÄÁÏѧ˶321Çóµ÷¼Á +11 Ymlll 2026-03-18 15/750 2026-03-20 19:40 by ¶¡¶¡*
[¿¼ÑÐ] Ò»Ö¾Ô¸ÄÏÀí¹¤085701»·¾³302Çóµ÷¼ÁԺУ +3 ¿ûè÷ÎÀ¶Ó 2026-03-20 3/150 2026-03-20 19:28 by zhukairuo
[¿¼ÑÐ] 086500 325 Çóµ÷¼Á +3 Áì´øÐ¡ÐÜ 2026-03-19 3/150 2026-03-20 18:38 by ¾¡Ë´Ò¢1
[¿¼ÑÐ] ÕÐÊÕµ÷¼Á˶ʿ +4 lidianxing 2026-03-19 12/600 2026-03-20 12:25 by lidianxing
ÐÅÏ¢Ìáʾ
ÇëÌî´¦ÀíÒâ¼û