| 查看: 973 | 回复: 5 | |
angelwrq无虫 (初入文坛)
|
[求助]
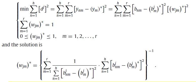
求教一个公式的推导过程 已有2人参与
|
|
|
|
gorgen金虫 (正式写手)
金虫
|
|
![]() |
|
|
2楼2014-09-08 15:54:54
|
|
hdf345088114木虫 (著名写手)
|
|
|
3楼2014-09-08 18:33:29
|
|
x593084577铜虫 (初入文坛)
|
|
|
4楼2014-09-08 22:22:45
|
|
ll550木虫 (职业作家)
|
|
![]() |
|
|
5楼2014-09-09 02:49:04
|
|
XHJ210896铜虫 (初入文坛)
|
|
|
6楼2014-09-09 17:31:53
|
|














回复此楼