24小时热门版块排行榜    

Znn3bq.jpeg
查看: 648  |  回复: 2

公元19782012

木虫 (小有名气)

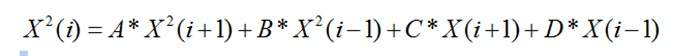
[求助] 求解方程组?此类方程组怎么求?是哪一类?用MATLAB怎么编程

已知系数A,B,C,D,且i=1 to n ,则:请问下列的方程是非线性齐次方程组吗? 假如:X(1)=X(n-1)=1,使用迭代法可以求吗?高斯赛德尔还是SOR

求解方程组?此类方程组怎么求?是哪一类?用MATLAB怎么编程
无标题.jpg
回复此楼

» 猜你喜欢

» 本主题相关价值贴推荐,对您同样有帮助:

银样蜡枪头
已阅   关注TA 给TA发消息 送TA红花 TA的回帖

feixiaolin

荣誉版主 (文坛精英)

优秀版主

2楼2015-03-24 18:45:06
已阅   关注TA 给TA发消息 送TA红花 TA的回帖

公元19782012

木虫 (小有名气)

引用回帖:
2楼: Originally posted by feixiaolin at 2015-03-24 18:45:06
http://www.ilovematlab.cn/thread-221147-1-1.html 可参考不?

我想用迭代法,两个边界值取一,其他设为零,但是MATLAB编程时,总是不收敛,请问有关于迭代法(SOR   或 高斯)方面的MATLAB编程资料推荐吗?
银样蜡枪头
3楼2015-03-24 20:48:49
已阅   关注TA 给TA发消息 送TA红花 TA的回帖
相关版块跳转 我要订阅楼主 公元19782012 的主题更新
最具人气热帖推荐 [查看全部] 作者 回/看 最后发表
[考博] 26/27申博自荐-锂/钠电池方向 5+3 狗头军师. 2026-05-15 4/200 2026-05-19 09:10 by moonboat
[基金申请] 今年审到国自然15份,谈谈感受 +16 国自然国社科中 2026-05-17 16/800 2026-05-18 14:58 by gy116024
[硕博家园] 考博自荐 +5 科研狗111 2026-05-13 6/300 2026-05-18 11:22 by 糊糊涂涂好
[基金申请] 青C资助名额大幅增加! +12 西葫芦炒鸡蛋 2026-05-13 16/800 2026-05-18 10:02 by Equinoxhua
[基金申请] 重磅!青年科学基金项目(C类)资助增幅预计超过50% +7 水和泥不是水泥 2026-05-13 10/500 2026-05-18 07:50 by 水和泥不是水泥
[硕博家园] 售SCI一区T0P文章,我:8.O.5.5.1.O.5.4,科目齐全,可+急 +6 l7k6xnh0yc 2026-05-14 7/350 2026-05-17 19:42 by Equinoxhua
[考研] 售SCI一区T0P文章,我:8.O.5.5.1.O.5.4,科目齐全,可+急 +4 xx7gd5zq4e 2026-05-15 6/300 2026-05-17 19:36 by Equinoxhua
[公派出国] 售SCI一区T0P文章,我:8.O.5.5.1.O.5.4,科目齐全,可+急 +4 v9tggjlwd0 2026-05-15 5/250 2026-05-17 18:39 by Equinoxhua
[考研] 售SCI一区T0P文章,我:8.O.5.5.1.O.5.4,科目齐全,可+急 +4 v9tggjlwd0 2026-05-15 4/200 2026-05-17 08:11 by 11n4dfd8yn
[硕博家园] 售SCI一区T0P文章,我:8.O.5.5.1.O.5.4,科目齐全,可+急 +4 v9tggjlwd0 2026-05-15 4/200 2026-05-17 08:06 by 11n4dfd8yn
[考博] 售SCI一区T0P文章,我:8.O.5.5.1.O.5.4,科目齐全,可+急 +6 l7k6xnh0yc 2026-05-14 6/300 2026-05-17 07:11 by 11n4dfd8yn
[博后之家] 售SCI一区T0P文章,我:8.O.5.5.1.O.5.4,科目齐全,可+急 +4 k37jurhrau 2026-05-16 4/200 2026-05-17 01:35 by ue3ir18jc3
[考博] 售SCI一区T0P文章,我:8.O.5.5.1.O.5.4,科目齐全,可+急 +3 ky2p12rrjj 2026-05-15 4/200 2026-05-17 00:57 by ue3ir18jc3
[硕博家园] 售SCI一区T0P文章,我:8.O.5.5.1.O.5.4,科目齐全,可+急 +3 ky2p12rrjj 2026-05-15 3/150 2026-05-17 00:45 by ue3ir18jc3
[公派出国] 售SCI一区T0P文章,我:8.O.5.5.1.O.5.4,科目齐全,可+急 +3 x0mp7owy2b 2026-05-15 4/200 2026-05-17 00:35 by ue3ir18jc3
[考研] 售SCI一区T0P文章,我:8.O.5.5.1.O.5.4,科目齐全,可+急 +4 x0mp7owy2b 2026-05-15 4/200 2026-05-17 00:25 by ue3ir18jc3
[高分子] 本人最近太闲了,谁有问题可以提,每天会统一回复 +9 一切都是空工 2026-05-12 20/1000 2026-05-16 19:52 by Equinoxhua
[有机交流] 求有机合成大神指点三硫酸乙烯酯(CAS:2793408-99-6)的合成路线 30+3 Leekmid 2026-05-13 10/500 2026-05-16 16:37 by czyzsu
[硕博家园] 申请博士 +3 呃?呃 2026-05-15 3/150 2026-05-16 11:01 by a4742549
[考博] 材料类只有一篇综述能申博么 +4 乐逍遥谷 2026-05-13 4/200 2026-05-14 12:05 by zhyzzh
信息提示
请填处理意见