版块导航
正在加载中...
客户端APP下载
论文辅导
申博辅导
登录
注册
帖子
帖子
用户
本版
应《网络安全法》要求,自2017年10月1日起,未进行实名认证将不得使用互联网跟帖服务。为保障您的帐号能够正常使用,请尽快对帐号进行手机号验证,感谢您的理解与支持!
24小时热门版块排行榜
>
论坛更新日志
(3302)
>
文献求助
(416)
>
导师招生
(215)
>
休闲灌水
(173)
>
虫友互识
(120)
>
招聘信息布告栏
(81)
>
硕博家园
(79)
>
考博
(62)
>
论文投稿
(60)
>
博后之家
(48)
>
考研
(48)
>
教师之家
(44)
>
绿色求助(高悬赏)
(43)
>
论文道贺祈福
(37)
>
基金申请
(35)
>
找工作
(35)
小木虫论坛-学术科研互动平台
»
计算模拟区
»
计算模拟
»
求解方程组?此类方程组怎么求?是哪一类?用MATLAB怎么编程
2
1/1
返回列表
查看: 414 | 回复: 1
只看楼主
@他人
存档
新回复提醒
(忽略)
收藏
在APP中查看
公元19782012
木虫
(小有名气)
应助: 1
(幼儿园)
金币: 1664.5
散金: 50
红花: 1
帖子: 267
在线: 112.4小时
虫号: 3585269
注册: 2014-12-09
性别: GG
专业: 微/纳机械系统
[
求助
]
求解方程组?此类方程组怎么求?是哪一类?用MATLAB怎么编程
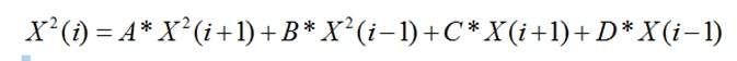
已知系数A,B,C,D,且i=1 to n ,则:请问下列的方程是非线性齐次方程组吗? 假如:X(1)=X(n-1)=1,使用迭代法可以求吗?高斯赛德尔还是SOR
无标题.jpg
回复此楼
» 猜你喜欢
投稿chemical physical letters不送审?
已经有2人回复
南开大学物理学院张书辉副教授招收凝聚态物理理论方向博士生、硕士生
已经有22人回复
物理学I论文润色/翻译怎么收费?
已经有241人回复
杂志要求提供official language-editing certificate
已经有4人回复
深圳大学2026年秋博士招生-物理学-活性胶体方向-高永祥课题组
已经有16人回复
论物质与能量的统一模型及物理现象解释
已经有0人回复
基于基元I统一理论的数学相关应用推导
已经有0人回复
基元I统一理论:宇宙本质、层级演化与修炼文明的本源规律
已经有1人回复
基元I理论下三大核心空间现象精准推导与细节解析
已经有0人回复
基于基元 I 统一理论的反重力理论推导
已经有0人回复
基于基元I统一理论的量子力学本源推导
已经有1人回复
» 本主题相关价值贴推荐,对您同样有帮助:
matlab能不能解一般的同余方程组
已经有10人回复
MATLAB解非线性方程组
已经有9人回复
MATLAB求解五元非线性方程组,在线等
已经有7人回复
非线性二阶微分方程组求解,matlab
已经有12人回复
matlab解方程组求助攻
已经有4人回复
matlab 求解线性方程组Ax=b
已经有10人回复
matlab 非线性微分方程求解
已经有3人回复
用matlab 求解参数方程组
已经有8人回复
matlab非线性方程组该如何编程。求助
已经有10人回复
求助:matlab求解一个方程组,其中一个方程有三角函数
已经有10人回复
求助用matlab或者(1st0pt)编程解方程组
已经有3人回复
matlab如何求解一个非线性微分方程组
已经有8人回复
求解这类方程 用什么软件编程较好····
已经有8人回复
MATLAB求解非线性方程组
已经有5人回复
求Matlab高手解决线性方程组的迭代求解问题
已经有17人回复
各位朋友,如何用matlab编写这个方程,并求解?
已经有15人回复
matlab有限差分法求解复杂的偏微分方程组
已经有19人回复
Matlab求解偏微分方程组
已经有22人回复
matlab求解非线性方程组
已经有16人回复
matlab数值求解边界条件微分方程组
已经有7人回复
求matlab求解一个方程组的问题
已经有6人回复
求高人指点用matlab求解非线性方程组,解决了追加100金币;
已经有11人回复
【求助】如何解一个含定积分的方程组
已经有9人回复
【求助】matlab怎么求解偏微分方程组啊,先谢谢了
已经有13人回复
银样蜡枪头
1楼
2015-03-24 15:32:21
已阅
关注TA
给TA发消息
送TA红花
TA的回帖
公元19782012
木虫
(小有名气)
应助: 1
(幼儿园)
金币: 1664.5
散金: 50
红花: 1
帖子: 267
在线: 112.4小时
虫号: 3585269
注册: 2014-12-09
性别: GG
专业: 微/纳机械系统
★
ben_ladeng: 金币+1, 谢谢指教
2015-04-06 17:14:08
非线性齐次方程组,SOR迭代,自己解决了
赞
一下
回复此楼
银样蜡枪头
2楼
2015-04-06 16:14:32
已阅
关注TA
给TA发消息
送TA红花
TA的回帖
相关版块跳转
第一性原理
量子化学
计算模拟
分子模拟
仿真模拟
程序语言
我要订阅楼主
公元19782012
的主题更新
2
1/1
返回列表
信息提示
关闭
请填处理意见
关闭
确定