| 查看: 2012 | 回复: 6 | |||
[求助]
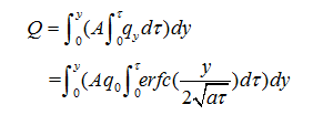
高数:一个余误差函数积分计算 已有2人参与
|
|||
|
|
|||
wurongjun专家顾问 (职业作家)
|
|||
![]() |
|||
|
2楼2015-03-06 18:27:22
|
|
||
|
3楼2015-03-07 10:38:00
|
|
||
wurongjun专家顾问 (职业作家)
|
|||
![]() |
|||
|
4楼2015-03-07 12:33:41
|
|
||
终之太刀—晓铁杆木虫 (著名写手)
数学爱好者
|
|||
![]() |
|||
|
5楼2015-03-10 01:02:32
|
|
||
|
6楼2015-03-10 08:20:56
|
|
||
终之太刀—晓铁杆木虫 (著名写手)
数学爱好者
|
|||
![]() |
|||
|
7楼2015-03-10 14:32:30
|
|












回复此楼
