±±¾©Ê¯ÓÍ»¯¹¤Ñ§Ôº2026ÄêÑо¿ÉúÕÐÉú½ÓÊÕµ÷¼Á¹«¸æ
²é¿´: 576  |  »Ø¸´: 1

Mtime1992

гæ (СÓÐÃûÆø)

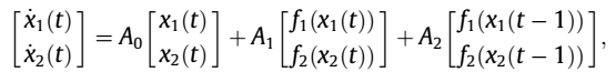
[ÇóÖú] ÇóÖú ¹ØÓÚÑÓʱ΢·Ö·½³Ì MATLABµÄʵÏÖ

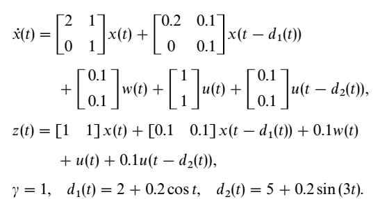
Õâ¸ö¶«Î÷ÔõôÓÃmatlab·ÂտĨ£¿µÚÒ»ÕÅͼ¿ÉÄÜÓÐЩÂé·³£¬ÄÄλ´óÉñÄܸøËµËµµÚ¶þÕÅͼÉϵÄËãÀý¡£

ÇóÖú  ¹ØÓÚÑÓʱ΢·Ö·½³Ì  MATLABµÄʵÏÖ
ͼƬ2.png


ÇóÖú  ¹ØÓÚÑÓʱ΢·Ö·½³Ì  MATLABµÄʵÏÖ-1
ͼƬ3.png
»Ø¸´´ËÂ¥

» ²ÂÄãϲ»¶

» ±¾Ö÷ÌâÏà¹Ø¼ÛÖµÌùÍÆ¼ö£¬¶ÔÄúͬÑùÓаïÖú:

ÒÑÔÄ   »Ø¸´´ËÂ¥   ¹Ø×¢TA ¸øTA·¢ÏûÏ¢ ËÍTAºì»¨ TAµÄ»ØÌû

Mtime1992

гæ (СÓÐÃûÆø)

fº¯ÊýÊÇtanh(x)
2Â¥2015-01-13 20:57:28
ÒÑÔÄ   »Ø¸´´ËÂ¥   ¹Ø×¢TA ¸øTA·¢ÏûÏ¢ ËÍTAºì»¨ TAµÄ»ØÌû
Ïà¹Ø°æ¿éÌø×ª ÎÒÒª¶©ÔÄÂ¥Ö÷ Mtime1992 µÄÖ÷Ìâ¸üÐÂ
×î¾ßÈËÆøÈÈÌûÍÆ¼ö [²é¿´È«²¿] ×÷Õß »Ø/¿´ ×îºó·¢±í
[¿¼ÑÐ] 0856²ÄÁÏ»¯¹¤µ÷¼Á ×Ü·Ö330 +10 zhubinhao 2026-03-27 10/500 2026-03-28 03:34 by fmesaito
[¿¼ÑÐ] 277¹òÇóµ÷¼Á +5 1915668 2026-03-27 8/400 2026-03-27 19:53 by WYUMater
[¿¼ÑÐ] 07»¯Ñ§280·ÖÇóµ÷¼Á +10 722865 2026-03-23 10/500 2026-03-27 15:51 by Plutoqq
[¿¼ÑÐ] 0856µ÷¼Á +5 ÇóÇóÈÃÎÒÓÐÊé¶Á° 2026-03-26 6/300 2026-03-27 15:12 by caszguilin
[¿¼ÑÐ] 333Çóµ÷¼Á +3 questionÍì·ç 2026-03-23 3/150 2026-03-27 11:29 by ²»³Ôô~µÄ؈
[¿¼ÑÐ] ²ÄÁÏÇóµ÷¼Á +8 @taotao 2026-03-21 8/400 2026-03-27 11:21 by wangjy2002
[¿¼ÑÐ] 0703»¯Ñ§Ò»Ö¾Ô¸ÄϾ©Ê¦·¶´óѧ303Çóµ÷¼Á +3 zzffylgg 2026-03-24 3/150 2026-03-27 10:42 by shangxh
[¿¼ÑÐ] 343Çóµ÷¼Á +4 ÔùÎÒÒ»±¾Êé 2026-03-23 4/200 2026-03-27 00:40 by wxiongid
[¿¼ÑÐ] µ÷¼Á +4 èÖèÖyoyo 2026-03-26 4/200 2026-03-26 20:43 by fmesaito
[¿¼ÑÐ] 279Çóµ÷¼Á +6 ºìÒÂÒþ¹Ù 2026-03-21 6/300 2026-03-26 18:32 by ²»³Ôô~µÄ؈
[¿¼ÑÐ] 26¿¼ÑÐ-291·Ö-ÏÃÃÅ´óѧ£¨085601£©-ÈáÐÔµç×ÓѧԺ²ÄÁϹ¤³ÌרҵÇóµ÷¼Á +3 min3 2026-03-24 4/200 2026-03-25 18:22 by xcjcqu
[¿¼ÑÐ] ÉúÎï¼¼ÊõÓ빤³Ì +3 1294608413 2026-03-25 4/200 2026-03-25 18:02 by 1294608413
[¿¼ÑÐ] 293Çóµ÷¼Á +7 ¼ÓÒ»Ò»¾Å 2026-03-24 7/350 2026-03-25 12:02 by userper
[¿¼ÑÐ] ÉúÎïѧѧ˶Çóµ÷¼Á +7 СÑò˯×ÅÁË? 2026-03-23 10/500 2026-03-25 02:24 by Çå·ç·÷Ñï¡£ m
[¿¼ÑÐ] µ÷¼Á +4 13853210211 2026-03-24 4/200 2026-03-24 19:44 by ms629
[»ù½ðÉêÇë] Çë½ÌÏ´ó¼Ò 2026Äê¹ú¼Ò»ù½ðÉêÇëÊÇ˫äÉóÂ𣿠+3 lishucheng1 2026-03-22 5/250 2026-03-24 08:22 by gltch
[¿¼ÑÐ] 341Çóµ÷¼Á(Ò»Ö¾Ô¸ºþÄÏ´óѧ070300) +5 ·¬ÇÑÍ·--- 2026-03-22 6/300 2026-03-23 23:45 by Txy@872106
[¿¼ÑÐ] 333Çóµ÷¼Á +3 ALULU4408 2026-03-23 3/150 2026-03-23 19:04 by macy2011
[¿¼ÑÐ] ½ÓÊÕ2026˶ʿµ÷¼Á(ѧ˶+ר˶) +4 allen-yin 2026-03-23 6/300 2026-03-23 15:04 by Íô£¡£¿£¡
[¿¼ÑÐ] ÉúÎïѧµ÷¼Á +5 Surekei 2026-03-21 5/250 2026-03-22 14:39 by tcx007
ÐÅÏ¢Ìáʾ
ÇëÌî´¦ÀíÒâ¼û