24小时热门版块排行榜    

Znn3bq.jpeg
查看: 2651  |  回复: 14

daliwa7

银虫 (小有名气)

[求助] 小角XRD靠近0°的背景问题 已有1人参与

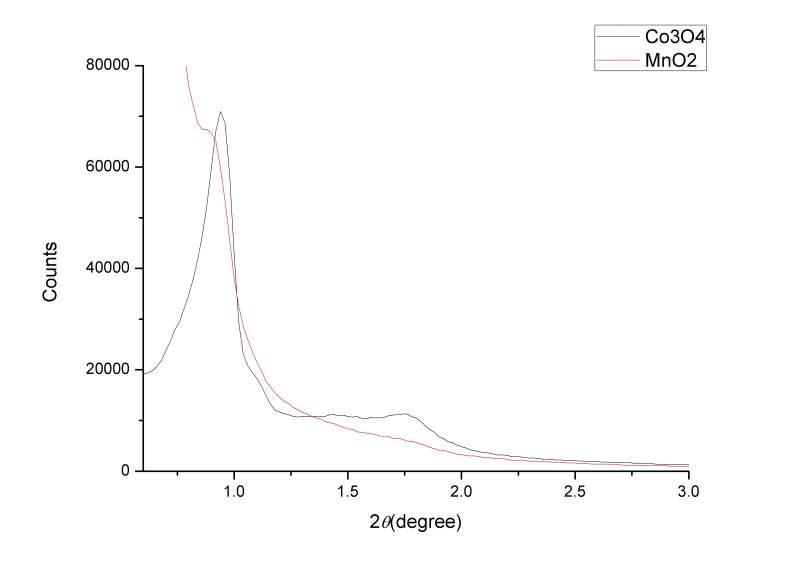
我今天测了两个样品的小角衍射,发现两个样品的小角段背景有显著差异。所以,我的问题是,为什么XRD小角段背景信号差异那么大(Co3O4样品在0.6 °强度约为20,000 counts,而MnO2约为400,000 Counts)?尤其是Co3O4样品背景看起来为什么不是典型的一个衰减曲线(背景随2theta增大而迅速衰减)?

然后叙述一下我的样品条件。
1. 仪器条件
因为为了节约时间,两个样品用的是同一台仪器左右两侧两个独立的检测器几乎在同一时间测的。所以两次测试共用光源,我问过仪器负责老师,两个检测器也是一致的。他们用标样做的常规检测器检测也认为信号强度相当。
2. 测试条件
两个样品测试条件几乎完全一致,除了Co3O4样品offset为-0.3°,这是我后来发现的。最末附上测试条件。
【所以是因为offset不等于0导致的背景信号减弱吗?我有考虑过这个问题。我查阅了以前的测试数据,都是用的offset = 0测的。一些0.6 °数据如下:SiO2 ~ 25,000、~ 80,000,~ 14,000……但是都没有出现过400,000那么强的信号。】
3. 样品台
样品台也稍稍有点区别。两个样品台都是毛玻璃。但是装Co3O4的样品台装样池表面积更大一些,MnO2的表面积更小一些。这样Co3O4被衍射面积会更大一些。
4. 样品
相就是上边这两个了,MnO2和Co3O4,具有有序介孔。用相同方法得到的有序介孔,所以有序介孔应该没有明显差异。

所以,背景差异那么大的原因到底在哪里?我知道会有人说我两个样品测试条件有差异什么的,但是到底是哪一个原因导致了这个差异?这两个样品应该会重测了,我现在只是好奇这个问题。谢谢!

附:测试条件
*TYPE                =  Raw
*CLASS                =  ASCII CLASS
*SAMPLE                =  
*COMMENT        =  
*FNAME                =  Co3O4-KIT6-100.raw
*DATE                =  04-Dec-14 11:35

*GROUP_COUNT        =  1
*GONIO                =  RINT2000 vertical goniometer, 185
*ATTACHMENT        =  Standard sample holder
*ASC                =  0, 0, 0.000000, 0.000000
*C_MONOCHRO        =  Fixed Monochromator, 6.708
*SLIT_NAME        =  0, DivSlit
*SLIT_NAME        =  1, DivH.L.Slit
*SLIT_NAME        =  2, SctSlit
*SLIT_NAME        =  3, RecSlit
*SLIT_NAME        =  4, Monochro RS
*COUNTER        =  Scintillation counter, 0
*POS_FORMAT        =  0
*SCAN_AXIS        =  2theta/theta
*MEAS_MODE        =  FT
*TARGET                =  29
*XRAY_CHAR        =  K-ALPHA1
*WAVE_LENGTH1        =  1.54056
*WAVE_LENGTH2        =  1.5444
*THICKNESS        =  0, 0.000000
*MU                =  0, 0.000000
*SCAN_MODE        =  2theta/theta
*SPEED_DIM        =  sec./step(FT)
*XUNIT                =  deg.
*YUNIT                =  counts
*SCALE_MODE        =  1
*REP_COUNT        =  1
*SE_COUNT        =  0
*STD_MATERIAL        =  Unknown, Unknown, 0.000000, 0.000000, 0.000000, 0.000000, 0.000000, 0.000000
*LATT_CONS        =  0, Unknown, Unknown, 0.000000, 0.000000, 0.000000, 0.000000, 0.000000, 0.000000
*SEC_COUNT        =  1
*TSPEC_SIZE        =  0
*EXTRA_SIZE        =  0
*MEMO                =  

*BEGIN
*GROUP                =  0
*START                =  0.6
*STOP                =  3
*STEP                =  0.02
*OFFSET                =  -0.300000【唯一的差异在这里。做测试的时候我没有发现Co3O4的offset是-0.3,我后来看MnO2的是0.3】
*SPEED                =  5
*SLIT_SPEC        =  0, 1/6 deg., 0.29, 10
*SLIT_SPEC        =  1, 10mm, 8, 10
*SLIT_SPEC        =  2, 1/6 deg., 0.16, 20
*SLIT_SPEC        =  3, 0.15mm, 0.15, 20
*SLIT_SPEC        =  4, No Use, 0.000000, 20
*KV                =  40
*MA                =  200
*LOW                =  0.000000
*HIGH                =  0.000000
*CTEMPER        =  0, 0.000000
*CTEMPER        =  1, 0.000000
*CTEMPER        =  2, 0.000000
*PAREX                =  0, 0.000000
*PAREX                =  1, 0.000000
*PAREX                =  2, 0.000000
*PAREX                =  3, 0.000000
*PAREX                =  4, 0.000000
*PAREX                =  5, 0.000000
*PAREX                =  6, 0.000000
*PAREX                =  7, 0.000000
*PAREX                =  8, 0.000000
*PAREX                =  9, 0.000000
*PAREX                =  10, 0.000000
*PAREX                =  11, 0.000000
*PAREX                =  12, 0.000000
*PAREX                =  13, 0.000000
*PAREX                =  14, 0.000000
*PAREX                =  15, 0.000000
*FULL_SCALE        =  1000
*INDEX                =  0, 0, 0
*COUNT                =  121
19180, 19399, 19833, 20653
21865, 23895, 25742, 28000
29517, 32188, 34603, 37908
41779, 46496, 52350, 59956
67228, 70980, 68647, 58537
42773, 29358, 23068, 20795
19471, 18294, 16737, 14898
13170, 12033, 11678, 11417
11128, 10832, 10682, 10832
10716, 10762, 10761, 10818
10834, 11114, 11179, 10923
11068, 10763, 10689, 10762
10446, 10332, 10600, 10497
10483, 10647, 10953, 11093
11197, 11284, 11321, 10771
10504, 9822, 8985, 8205
7726, 6859, 6433, 5808
5640, 5160, 4818, 4551
4200, 4012, 3825, 3705
3571, 3394, 3174, 3214
3132, 2891, 2846, 2828
2681, 2609, 2571, 2488
2332, 2410, 2281, 2206
2222, 2110, 2122, 2068
2003, 1968, 1869, 1878
1882, 1799, 1819, 1685
1714, 1655, 1633, 1696
1560, 1546, 1542, 1486
1461, 1373, 1345, 1347
1280, 1335, 1273, 1279
1258
*END

*EOF

小角XRD靠近0°的背景问题
Co3O4.jpg


小角XRD靠近0°的背景问题-1
MnO2.jpg


小角XRD靠近0°的背景问题-2
Test.jpg
回复此楼

» 猜你喜欢

» 本主题相关价值贴推荐,对您同样有帮助:

已阅   回复此楼   关注TA 给TA发消息 送TA红花 TA的回帖

sxp55218

至尊木虫 (著名写手)

【答案】应助回帖

★ ★ ★ ★ ★ ★ ★ ★ ★ ★
感谢参与,应助指数 +1
daliwa7: 金币+10, ★★★很有帮助, 和你讨论了好几天了,挺感谢你的!我这周再测测看看。谢谢你! 2014-12-08 23:32:09
实际上你的两个样品是在两台仪器上做的,因为两侧的探测器可能不同。你可以把两个样品调换一下在做一次看看什么情况。另外,在做小角度衍射时狭缝要用小狭缝!
2楼2014-12-05 08:02:38
已阅   回复此楼   关注TA 给TA发消息 送TA红花 TA的回帖

daliwa7

银虫 (小有名气)

引用回帖:
2楼: Originally posted by sxp55218 at 2014-12-05 08:02:38
实际上你的两个样品是在两台仪器上做的,因为两侧的探测器可能不同。你可以把两个样品调换一下在做一次看看什么情况。另外,在做小角度衍射时狭缝要用小狭缝!

关于你的第一个疑问,我的两个样品是共用同一个X射线源的,射线源分出两路射线,进入两个样品。关于检测器,我问过实验室管理员,他们说两个检测器完全一样。所以不存在“两台仪器”的原因。
我用了小狭缝了。下边这个是我的狭缝参数(准直器和狭缝什么的,我记不太清楚学名叫什么了):
*SLIT_SPEC        =  0, 1/6 deg., 0.29, 10
*SLIT_SPEC        =  1, 10mm, 8, 10
*SLIT_SPEC        =  2, 1/6 deg., 0.16, 20
*SLIT_SPEC        =  3, 0.15mm, 0.15, 20
广角测试的参数如下:
*SLIT_SPEC        =  0, 1deg., 1.75, 10
*SLIT_SPEC        =  1, 10mm, 8, 10
*SLIT_SPEC        =  2, 1deg., 0.94, 20
*SLIT_SPEC        =  3, 0.3mm, 0.3, 20
所以和狭缝没有关系。
3楼2014-12-05 14:36:57
已阅   回复此楼   关注TA 给TA发消息 送TA红花 TA的回帖

sxp55218

至尊木虫 (著名写手)

引用回帖:
3楼: Originally posted by daliwa7 at 2014-12-05 14:36:57
关于你的第一个疑问,我的两个样品是共用同一个X射线源的,射线源分出两路射线,进入两个样品。关于检测器,我问过实验室管理员,他们说两个检测器完全一样。所以不存在“两台仪器”的原因。
我用了小狭缝了。下边 ...

两个检测器完全一样是不可能的!看了你的图谱MnO2是对的。另一个可能样品没放好(偏离了聚焦园了或样品制备时样品和样品架不在同一面上)
4楼2014-12-05 17:29:57
已阅   回复此楼   关注TA 给TA发消息 送TA红花 TA的回帖

daliwa7

银虫 (小有名气)

引用回帖:
4楼: Originally posted by sxp55218 at 2014-12-05 17:29:57
两个检测器完全一样是不可能的!看了你的图谱MnO2是对的。另一个可能样品没放好(偏离了聚焦园了或样品制备时样品和样品架不在同一面上)...

不太清楚你说的两个检测器完全一样不可能是为什么。我打电话问实验室老师,他说两个检测器就是一样的。也就是说,可以排除检测器导致的背景不同。(毕竟背景cps值量级上都有差异。)
MnO2确实看起来好像更像是对的。因为我也觉得背景曲线应该就是这么一条衰减曲线。但是另一方面,Co3O4出的峰是对的。我的材料有Ia3d介孔结构。用Ia3d对称性做计算,以第一个主峰作为基准计算,该出的峰位置都没有偏差,而且文献中一般没有观察到的弱峰我这里也能隐约看到。也就是说,Co3O4至少信号都是对的。以前我做的样品信号更接近于Co3O4这种形状,就是0°附近信号很弱。我之前一直把它认为是我的样品信号远远超过背景导致的。(因为仔细看Co3O4的背景也是条衰减曲线。)但是那天两个样品一起做差异这么显著,所以我就比较好奇原因了。
另外,刚才我检查了我做的所有小角衍射的样品,0.6°处的峰都没有超过10,000 counts的。只有这个MnO2超过了。另一方面,注意到MnO2出的峰强度也在大约8,000 counts左右。所以是否是这个样品背景有问题啊?或者有可能小狭缝坏了,漏光?
关于样品没放好的问题。我放样前都会用眼睛检查样品平面,能够保证在眼睛容许误差内,样品平面和我的样品容器(那个玻璃片,专业术语应该叫啥?)是一样的。而样品容器平面在聚焦圆切线上应该是由实验室老师保证的,姑且认为这是没问题的。我自己没试过样品平面和容器平面不同时差异会有多大。您认为是这个原因吗?
再次表示感谢!
5楼2014-12-08 00:21:27
已阅   回复此楼   关注TA 给TA发消息 送TA红花 TA的回帖

daliwa7

银虫 (小有名气)

引用回帖:
5楼: Originally posted by daliwa7 at 2014-12-08 00:21:27
不太清楚你说的两个检测器完全一样不可能是为什么。我打电话问实验室老师,他说两个检测器就是一样的。也就是说,可以排除检测器导致的背景不同。(毕竟背景cps值量级上都有差异。)
MnO2确实看起来好像更像是对的 ...

上边那个数字标错了。
另外,刚才我检查了我做的所有小角衍射的样品,0.6°处的峰都没有超过100,000 counts的。只有这个MnO2超过了。另一方面,注意到MnO2出的峰强度也在大约80,000 counts左右。所以是否是这个样品背景有问题啊?或者有可能小狭缝坏了,漏光?
6楼2014-12-08 00:23:17
已阅   回复此楼   关注TA 给TA发消息 送TA红花 TA的回帖

sxp55218

至尊木虫 (著名写手)

【答案】应助回帖

我说的探测器不可能完全相同是因为探测器的晶体一般会潮解,这对强度是有影响的。两边的晶体不可能潮解一样!
你的问题可能是Co3O4的峰移动了,峰移动的原因1.样品不平;2.仪器没调好;3.狭缝选的不对(对小角度而言)。
另外,OFFSET =  -0.3应该不对。解决这些问题最简单的办法把样品换到另一侧测角台在侧一下。然后根据结果就可以知道是怎么回事了。
7楼2014-12-08 08:28:02
已阅   回复此楼   关注TA 给TA发消息 送TA红花 TA的回帖

daliwa7

银虫 (小有名气)

引用回帖:
7楼: Originally posted by sxp55218 at 2014-12-08 08:28:02
我说的探测器不可能完全相同是因为探测器的晶体一般会潮解,这对强度是有影响的。两边的晶体不可能潮解一样!
你的问题可能是Co3O4的峰移动了,峰移动的原因1.样品不平;2.仪器没调好;3.狭缝选的不对(对小角度而 ...

Co3O4的峰没有移动。这不是点阵周期性产生的衍射,是介孔周期性产生的衍射。点阵常数a大约在20 nm量级,和电镜观察一致。
offset那个确实选错了。我当时时间快到点了,改参数的时候没注意看offset这一项。
我这周已经预约了时间重新测了。
现在的问题是,为什么MnO2的背景信号那么强,达到了400,000 counts?
8楼2014-12-08 16:31:26
已阅   回复此楼   关注TA 给TA发消息 送TA红花 TA的回帖

sxp55218

至尊木虫 (著名写手)

引用回帖:
8楼: Originally posted by daliwa7 at 2014-12-08 16:31:26
Co3O4的峰没有移动。这不是点阵周期性产生的衍射,是介孔周期性产生的衍射。点阵常数a大约在20 nm量级,和电镜观察一致。
offset那个确实选错了。我当时时间快到点了,改参数的时候没注意看offset这一项。
我这周 ...

你认为第一个峰(接近1度)是Co3O4介孔的衍射峰吗?我不认为它是!我认为1度多一点的那个峰(不是很明显)才是介孔的衍射峰。所以我才认为整个衍射峰都向大角度移动了。供参考。
9楼2014-12-08 21:13:20
已阅   回复此楼   关注TA 给TA发消息 送TA红花 TA的回帖

daliwa7

银虫 (小有名气)

引用回帖:
9楼: Originally posted by sxp55218 at 2014-12-08 21:13:20
你认为第一个峰(接近1度)是Co3O4介孔的衍射峰吗?我不认为它是!我认为1度多一点的那个峰(不是很明显)才是介孔的衍射峰。所以我才认为整个衍射峰都向大角度移动了。供参考。...

哈哈,眼力挺好的。1°多一点是有一个峰。
1°不到的那个峰是(211)峰,1°多一点的那个峰是(220)峰。一个对应d = sqrd(6)a,一个对应d = sqrd(8)a,所以两个峰的2theta也很接近。
后边那个看起来像平台的是因为那里有一大堆挨得比较近的峰。有(321)(400)(420)(332)(422)(431)。
你可以算一下,这些峰峰位和这些指标都挺吻合的。
10楼2014-12-08 23:28:24
已阅   回复此楼   关注TA 给TA发消息 送TA红花 TA的回帖
相关版块跳转 我要订阅楼主 daliwa7 的主题更新
最具人气热帖推荐 [查看全部] 作者 回/看 最后发表
[考博] 光量子物理方向 博士招生 1人(2026.09) +3 sandyworld 2026-05-15 3/150 2026-05-16 17:11 by zznnnj
[公派出国] 售SCI一区T0P文章,我:8.O.5.5.1.O.5.4,科目齐全,可+急 +5 l7k6xnh0yc 2026-05-14 5/250 2026-05-16 16:35 by x28q7dxf75
[有机交流] 如何实现卤原子转化 10+3 BT20230424 2026-05-15 5/250 2026-05-16 16:20 by czyzsu
[硕博家园] 售SCI一区T0P文章,我:8.O.5.5.1.O.5.4,科目齐全,可+急 +3 x0mp7owy2b 2026-05-15 3/150 2026-05-16 12:49 by vcdazktkjx
[论文投稿] 售SCI一区T0P文章,我:8.O.5.5.1.O.5.4,科目齐全,可+急 +3 xx7gd5zq4e 2026-05-15 5/250 2026-05-16 12:24 by h3oerqvkv9
[硕博家园] 考博自荐 +3 科研狗111 2026-05-13 4/200 2026-05-16 11:45 by 科研狗111
[考博] 售SCI一区T0P文章,我:8.O.5.5.1.O.5.4,科目齐全,可+急 +4 l7k6xnh0yc 2026-05-14 4/200 2026-05-16 11:36 by h3oerqvkv9
[考研] 售SCI一区T0P文章,我:8.O.5.5.1.O.5.4,科目齐全,可+急 +4 l7k6xnh0yc 2026-05-14 6/300 2026-05-16 11:29 by h3oerqvkv9
[硕博家园] 售SCI一区T0P文章,我:8.O.5.5.1.O.5.4,科目齐全,可+急 +4 cjf4bx70cj 2026-05-14 6/300 2026-05-16 11:16 by h3oerqvkv9
[硕博家园] 申请博士 +3 呃?呃 2026-05-15 3/150 2026-05-16 11:01 by a4742549
[基金申请] 这年头没有找到涵评专家,还有中面上的可能吗 +11 dd921ww 2026-05-12 13/650 2026-05-16 09:16 by Howard28
[教师之家] 上海大学实验技术岗位非升即走 +5 嘻嘻哈哈乐呵呵 2026-05-15 5/250 2026-05-16 00:17 by caiyun
[论文投稿] 有带发论文的吗 +4 山楂之术 2026-05-09 4/200 2026-05-15 15:40 by 妹子不好惹
[文学芳草园] 风把牡丹吹跑了 +5 myrtle 2026-05-12 9/450 2026-05-15 15:27 by myrtle
[基金申请] 青C资助名额大幅增加! +11 西葫芦炒鸡蛋 2026-05-13 15/750 2026-05-15 14:36 by ambravo
[基金申请] 精华III评审感受-评审感受-评审感受 +14 ferrarichen 2026-05-11 18/900 2026-05-15 11:12 by cmhchen
[教师之家] 教学课件你会给同学吗 +8 硕士研究生吗 2026-05-13 8/400 2026-05-14 22:23 by 常规沥青
[有机交流] 求助2,4-二氯-5-嘧啶甲醛的合成方法 20+3 光吃不拉 2026-05-14 5/250 2026-05-14 20:15 by 一切都是空工
[论文投稿] 求助大佬sci投稿哪个好中 +3 江沅188 2026-05-12 4/200 2026-05-13 14:35 by 江沅188
[考博] 现在不知道怎么办,感觉很痛苦 +4 qweww 2026-05-11 5/250 2026-05-11 20:23 by Oversize
信息提示
请填处理意见