| 查看: 1600 | 回复: 11 | ||
[求助]
固体紫外二次吸收 已有2人参与
|
||
|
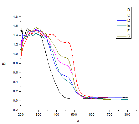
合成的复合物紫外固体有二次吸收 我不知道怎么解释二次吸收 如果用用最大吸收波长算禁带宽度 应该用哪个 B C是单个物质 其他的是不同比例的复合物 还有二次吸收能不能证明是复合物 有没有相关的文献 [ Last edited by liwentao2010 on 2014-11-22 at 19:12 ] |
» 猜你喜欢
国家级人才团体课题组招收2026届博士
已经有1人回复
气相色谱点不着火
已经有4人回复
化学工程及工业化学论文润色/翻译怎么收费?
已经有101人回复
化工安全有关的复习提纲
已经有0人回复
国家级人才课题组招收2026年入学博士
已经有2人回复
散金
已经有88人回复
浙江师范大学国家杰青杨启华教授团队招收2026年博士研究生
已经有34人回复
南通大学电气与自动化学院2026年优秀博士招聘公告
已经有0人回复
国家级人才课题组招收2026年入学博士
已经有2人回复
» 本主题相关价值贴推荐,对您同样有帮助:
使用相同的方法,为什么不同次做的紫外光谱图不同?
已经有5人回复
紫外分光光度法做标准曲线两次测得吸光度相差大原因
已经有6人回复
如何做半导体固体粉末的紫外-可见吸收光谱
已经有4人回复
为什么测的固体紫外吸光度Abs会超过1达到1.6呢?
已经有3人回复
固体紫外漫反射可见吸收讨论
已经有29人回复
关于固体粉末样品的紫外可见吸收?
已经有4人回复
要的东西是白色固体,但是有油状无紫外吸收杂质。怎么除杂
已经有4人回复
二氧化钛薄膜如何进行紫外吸收光谱测试
已经有12人回复
紫外分光光度法测量水中油含量的吸光度问题
已经有20人回复
高手请进,急问固体紫外可见吸收光谱问题
已经有5人回复
有个固体紫外光吸收 不太懂
已经有10人回复
求助紫外分析测试双组份方法
已经有10人回复
光致发光光谱激发波长如何选择
已经有18人回复
【求助】TiO2固体紫外,哪条线的可见光吸收比较好?
已经有13人回复
【求助】二苯并噻吩在紫外波段吸收峰对应的跃迁分别是什么类型的!重金!50!
已经有6人回复
【求助】请问二氧化钛的固体粉末应该如何测紫外
已经有9人回复
【求助】怎样将固体紫外漫反射数据转换成紫外吸收数据
已经有10人回复
【求助】如何测固体膜的紫外吸收光谱
已经有8人回复
【求助】固体紫外光谱吸收强度呈现什么信息
已经有3人回复
【求助】紧急求助!关于紫外末端吸收!!
已经有6人回复
【求助】表征二氧化钛的红外与紫外吸收
已经有9人回复
催化基础知识普及、探讨帖之一:催化剂表面酸碱性表征
已经有171人回复
sheihk
木虫 (小有名气)
- C-EPI: 1
- 应助: 83 (初中生)
- 贵宾: 0.025
- 金币: 1935.4
- 红花: 7
- 帖子: 225
- 在线: 142.3小时
- 虫号: 3009813
- 注册: 2014-03-02
- 专业: 催化化学
2楼2014-10-30 23:32:56
angel8533
铁杆木虫 (正式写手)
- 应助: 8 (幼儿园)
- 金币: 5546.5
- 散金: 566
- 红花: 2
- 帖子: 631
- 在线: 921.2小时
- 虫号: 348144
- 注册: 2007-04-17
- 专业: 污染控制化学

10楼2014-11-03 17:51:29
3楼2014-10-31 12:12:26
sheihk
木虫 (小有名气)
- C-EPI: 1
- 应助: 83 (初中生)
- 贵宾: 0.025
- 金币: 1935.4
- 红花: 7
- 帖子: 225
- 在线: 142.3小时
- 虫号: 3009813
- 注册: 2014-03-02
- 专业: 催化化学
4楼2014-10-31 12:33:09
5楼2014-10-31 14:48:48
sheihk
木虫 (小有名气)
- C-EPI: 1
- 应助: 83 (初中生)
- 贵宾: 0.025
- 金币: 1935.4
- 红花: 7
- 帖子: 225
- 在线: 142.3小时
- 虫号: 3009813
- 注册: 2014-03-02
- 专业: 催化化学
6楼2014-10-31 14:57:50
7楼2014-10-31 15:35:52
sheihk
木虫 (小有名气)
- C-EPI: 1
- 应助: 83 (初中生)
- 贵宾: 0.025
- 金币: 1935.4
- 红花: 7
- 帖子: 225
- 在线: 142.3小时
- 虫号: 3009813
- 注册: 2014-03-02
- 专业: 催化化学
8楼2014-11-02 23:53:29
9楼2014-11-03 11:15:18













回复此楼