| 查看: 1616 | 回复: 5 | |||
ljq1027金虫 (小有名气)
|
[求助]
使用相同的方法,为什么不同次做的紫外光谱图不同? 已有2人参与
|
|
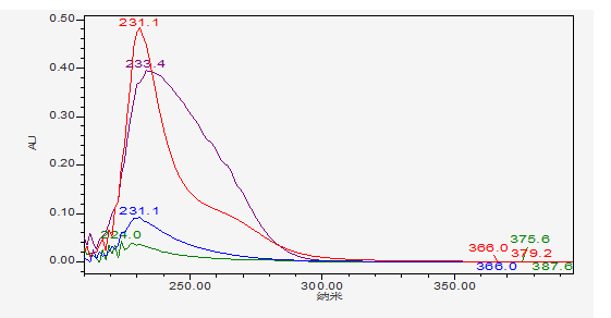
我用的是wates的高效液相色谱,检测器为二极管阵列检测器,流动相为四氢呋喃:水=0.6:0.2,流速为0.8mg/min,样品浓度为1mg/ml,使用相同的液相色谱柱,为什么从empower软件上看到不同次做的样品的光谱图差别很大?请诸位大侠帮帮忙解释一下可能的原因,附上两次的液相色谱图和光谱图 1.png 无标题.png 2.png 3.png |
» 猜你喜欢
(调剂)一志愿报考哈尔滨工业大学0857资源与环境专业378分考生
已经有4人回复
085602调剂 初试总分335
已经有8人回复
材料求调剂
已经有8人回复
求调剂
已经有7人回复
277求调剂
已经有6人回复
求调剂
已经有5人回复
一志愿 江南大学 085602 化工专硕 338分求调剂
已经有10人回复
283求调剂
已经有6人回复
一志愿郑州大学085600求调剂
已经有8人回复
285求调剂
已经有5人回复
» 本主题相关价值贴推荐,对您同样有帮助:
苯的溶液和蒸汽紫外吸收光谱为什么不同?
已经有4人回复
固体紫外 和 液体紫外光谱不一样是怎么回事
已经有12人回复
求助!为什么我的蛋白紫外光谱的最大吸收峰在257nm???疯掉了
已经有10人回复
如何通过漫反射红外光谱定量
已经有9人回复
做紫外光谱扫描时,一般配置多大的浓度?谢谢!!
已经有4人回复
弱弱的问一下,为什么有的做的紫外吸收光谱吸光度怎么超过1啊!
已经有11人回复

wyy080214
实习版主 (职业作家)
-

专家经验: +1209 - ACI: 16
- 应助: 1792 (讲师)
- 贵宾: 0.129
- 金币: 21960.5
- 散金: 76
- 红花: 152
- 帖子: 3144
- 在线: 266.3小时
- 虫号: 2718811
- 注册: 2013-10-12
- 性别: GG
- 专业: 色谱分析
- 管辖: 分析
2楼2013-12-18 09:07:13
ljq1027
金虫 (小有名气)
- 应助: 1 (幼儿园)
- 金币: 2224.5
- 帖子: 109
- 在线: 89.2小时
- 虫号: 1329472
- 注册: 2011-06-23
- 性别: GG
- 专业: 神经生物学

3楼2013-12-18 09:49:05
akosrios
铁杆木虫 (知名作家)
- ACI: 1
- 应助: 365 (硕士)
- 贵宾: 0.255
- 金币: 7418.4
- 散金: 460
- 红花: 12
- 沙发: 39
- 帖子: 8208
- 在线: 855.1小时
- 虫号: 848063
- 注册: 2009-09-15
- 性别: GG
- 专业: 色谱分析

4楼2013-12-18 10:21:24
ljq1027
金虫 (小有名气)
- 应助: 1 (幼儿园)
- 金币: 2224.5
- 帖子: 109
- 在线: 89.2小时
- 虫号: 1329472
- 注册: 2011-06-23
- 性别: GG
- 专业: 神经生物学

5楼2013-12-18 10:55:27
6楼2013-12-19 22:39:11














回复此楼
5