| 查看: 2798 | 回复: 1 | |
[求助]
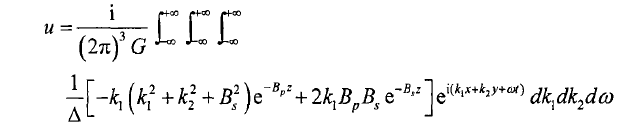
MATLAB可否求解复数函数的积分?而且是广义积分,从负无穷到正无穷? 已有1人参与
|
|
|
|
|
hppdyx木虫 (知名作家)
|
|
![]() |
|
|
2楼2014-10-31 14:46:34
|
|













回复此楼
