| 查看: 1246 | 回复: 2 | |||
zhs4276689木虫 (正式写手)
|
[求助]
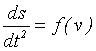
已知路程与时间的二次导数,如何用matlab求解?已有2人参与
|
||
|
|
|||
仙木映月金虫 (正式写手)
|
【答案】应助回帖
★ ★
感谢参与,应助指数 +1 zhs4276689: 金币+2, ★有帮助, 实话说,书到用时方恨少,我也是急用才想起Matlab,所以想有拿来就用的算法最好,惭愧! 2014-09-17 21:09:24
|
| 【答案】应助回帖
★ ★ ★ ★ ★
zhs4276689: 金币+5, ★★★很有帮助, 好的,我先试试去 2014-12-13 06:45:02 |













回复此楼