| 查看: 757 | 回复: 1 | |
Jeaff铁虫 (小有名气)
|
[求助]
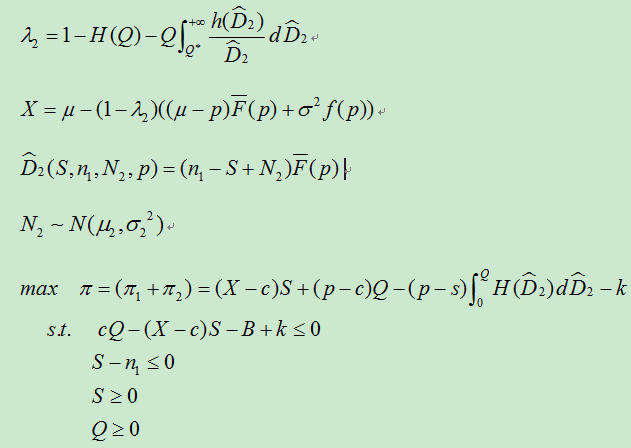
不等式约束二元变量极值问题
|
|
|
|
Jeaff铁虫 (小有名气)
|
|
|
2楼2014-08-24 10:39:24
|
|














回复此楼
5