| 查看: 1159 | 回复: 5 | ||
roubaobao铁虫 (小有名气)
|
[求助]
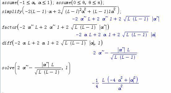
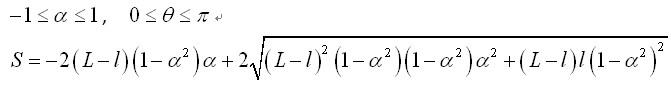
金币求助--求一个二元函数的最大值和其他极值
|
|
|
|
||
roubaobao铁虫 (小有名气)
|
||
|
2楼2012-05-20 21:37:14
|
|
|
zhangysu木虫 (正式写手)
|
||
|
3楼2012-05-21 00:29:28
|
|
|
fdcp金虫 (小有名气)
|
||
|
4楼2012-05-21 12:33:03
|
|
|
wjlwyk新虫 (正式写手)
|
【答案】应助回帖
★ ★ ★ ★
感谢参与,应助指数 +1 roubaobao: 金币+4 2012-09-14 12:01:41
|
|
|
5楼2012-05-21 13:36:08
|
|
|
wjlwyk新虫 (正式写手)
|
||
|
6楼2012-05-21 13:41:42
|
|














回复此楼