| 查看: 1557 | 回复: 17 | ||
小兰花银虫 (著名写手)
|
[求助]
求构造满足一定极值条件的函数,非常感谢。
|
|
|
|
||
| 回帖支持 ( 显示支持度最高的前 50 名 ) | ||
|
★ ★ ★ ★ ★ ★ ★ ★ ★ ★ ★ ★ ★ ★ ★ ★ ★ ★ ★ ★ ★ ★ ★ ★ ★
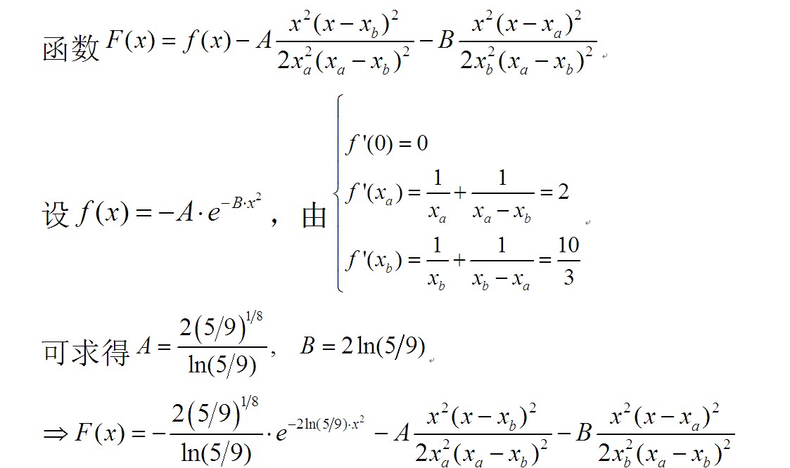
感谢参与,应助指数 +1 小兰花: 金币+15, ★★★很有帮助, 非常感谢您的关照和建议。现在把已知条件修改为Xa=0.25, Xb=0.75。 不知道是否有比较理想的构造方法。 谢谢。 2012-03-16 08:38:08 小兰花: 金币+10, ★有帮助, 非常感谢。 2012-04-16 09:06:02
|
||
|
3楼2012-03-15 21:46:04
|
|
|
| 普通回帖 | ||
小兰花银虫 (著名写手)
|
||
|
2楼2012-03-14 16:53:27
|
|
|
|
||
|
4楼2012-03-15 21:48:37
|
|
|
小兰花银虫 (著名写手)
|
||
|
5楼2012-03-15 23:26:35
|
|
|
小兰花银虫 (著名写手)
|
||
|
6楼2012-03-16 09:11:57
|
|
|
|
★ ★ ★ ★ ★ ★ ★ ★ ★ ★ ★ ★ ★ ★ ★ ★ ★ ★ ★ ★ ★ ★ ★ ★ ★ ★ ★ ★ ★ ★
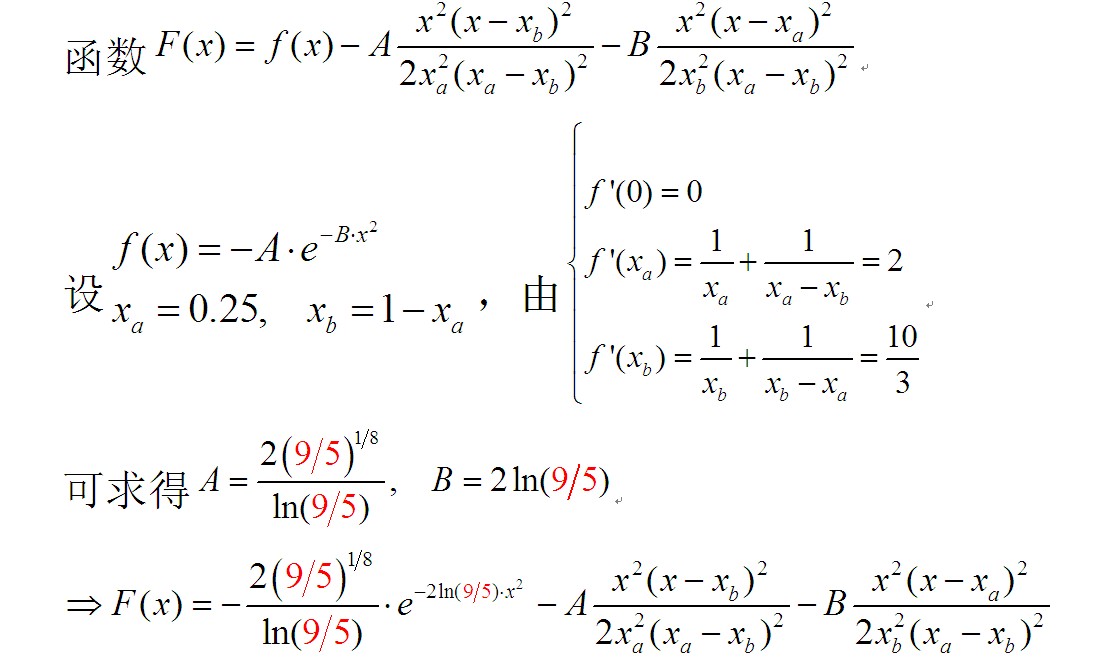
小兰花: 金币+20, ★★★很有帮助, 非常感谢。在x=0,x=xa时满足极值条件,在x=xb处不满足极小值条件。备注:x的取值范围在0-1之间。 非常感谢。 2012-03-17 12:14:33 小兰花: 金币+10, ★★★很有帮助, 再次感谢。 2012-04-16 09:06:19
|
||
|
7楼2012-03-16 12:32:13
|
|
|
小兰花银虫 (著名写手)
|
||
|
8楼2012-03-17 12:09:55
|
|
|
小兰花银虫 (著名写手)
|
||
|
9楼2012-03-18 19:54:09
|
|
|
小兰花银虫 (著名写手)
|
||
|
10楼2012-03-18 23:27:46
|
|
|













回复此楼
40