±±¾©Ê¯ÓÍ»¯¹¤Ñ§Ôº2026ÄêÑо¿ÉúÕÐÉú½ÓÊÕµ÷¼Á¹«¸æ
²é¿´: 1168  |  »Ø¸´: 11
µ±Ç°Ö»ÏÔʾÂú×ãÖ¸¶¨Ìõ¼þµÄ»ØÌû£¬µã»÷ÕâÀï²é¿´±¾»°ÌâµÄËùÓлØÌû

y8954450

Ìú³æ (³õÈëÎÄ̳)

[ÇóÖú] ×Ô¶¨Òå·½³ÌÄâºÏ¹ý³ÌÖгöÏÖµÄÎÊÌ⣬Äܰïæ¿´ÏÂô£¿ ÒÑÓÐ2È˲ÎÓë

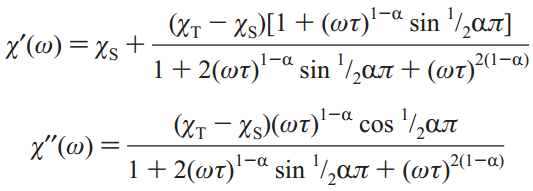
ÎÒÐèҪͼƬËùʾµÄ¹«Ê½¶ÔÎÒµÄÊý¾Ý½øÐÐÄâºÏ£¬

ÆäÖУ¬X``ÊÇY£»X`ÊÇX£¬

Xs, ¦Á, ¦ÓÊÇÐèÒªÄâºÏ³öµÄ²ÎÊý¡£

¾­¹ýÍÆµ¼£¬ÎҰѹ«Ê½ÔÚoriginÀï¸Äд³ÉÈçÏÂÐÎʽ£ºy =cos(¦Á*1.57)*(x-b)*c^(1-¦Á)/(1+sin(¦Á*1.57)*c^(1-¦Á))£¬bÊÇ´ú±íXs, cÊÇ´ú±í¦Ó£¬

ÕâÑùµÄ»°±àÒëÒ²¹ýÁË£¬µ«ÊÇÄ£Äâ³öµÄÈ´ÊÇÒ»ÌõÖ±Ïߣ¬¶ø²»ÊÇÎÒÏëÒªµÄ°ëÔ²ÐÎÇúÏß

¶àлÁË£¬ÈçÓаïÖú£¬ÒÔ»°·ÑÏàÔù¡£

×Ô¶¨Òå·½³ÌÄâºÏ¹ý³ÌÖгöÏÖµÄÎÊÌ⣬Äܰïæ¿´ÏÂô£¿
ͼÏñ 4.png
»Ø¸´´ËÂ¥

» ²ÂÄãϲ»¶

» ±¾Ö÷ÌâÏà¹Ø¼ÛÖµÌùÍÆ¼ö£¬¶ÔÄúͬÑùÓаïÖú:

ÒÑÔÄ   »Ø¸´´ËÂ¥   ¹Ø×¢TA ¸øTA·¢ÏûÏ¢ ËÍTAºì»¨ TAµÄ»ØÌû

dingd

Ìú¸Ëľ³æ (Ö°Òµ×÷¼Ò)

¡¾´ð°¸¡¿Ó¦Öú»ØÌû

¸Ðл²ÎÓ룬ӦÖúÖ¸Êý +1
Êý¾ÝÒ»²¢¸ø³ö°¡£¬·ñÔòË­Ò²²»ÖªÔ­Òò¡£

» ±¾ÌûÒÑ»ñµÃµÄºì»¨£¨×îÐÂ10¶ä£©

3Â¥2014-08-20 19:23:17
ÒÑÔÄ   »Ø¸´´ËÂ¥   ¹Ø×¢TA ¸øTA·¢ÏûÏ¢ ËÍTAºì»¨ TAµÄ»ØÌû
²é¿´È«²¿ 12 ¸ö»Ø´ð

y8954450

Ìú³æ (³õÈëÎÄ̳)

Èç¹û±íÊö²»Çå³þ£¬ÎÒ¿ÉÒÔÔÙ˵Ã÷һϣ¬¶àл¸÷λÁË¡£¡£¡£
2Â¥2014-08-20 17:05:02
ÒÑÔÄ   »Ø¸´´ËÂ¥   ¹Ø×¢TA ¸øTA·¢ÏûÏ¢ ËÍTAºì»¨ TAµÄ»ØÌû

y8954450

Ìú³æ (³õÈëÎÄ̳)

Êý¾ÝÔÚÕâÀÄܰïÎÒ¿´ÏÂô£¬¶àлÁË

» ±¾Ìû¸½¼þ×ÊÔ´Áбí

  • »¶Ó­¼à¶½ºÍ·´À¡£ºÐ¡Ä¾³æ½öÌṩ½»Á÷ƽ̨£¬²»¶Ô¸ÃÄÚÈݸºÔð¡£
    ±¾ÄÚÈÝÓÉÓû§×ÔÖ÷·¢²¼£¬Èç¹ûÆäÄÚÈÝÉæ¼°µ½ÖªÊ¶²úȨÎÊÌ⣬ÆäÔðÈÎÔÚÓÚÓû§±¾ÈË£¬Èç¶Ô°æÈ¨ÓÐÒìÒ飬ÇëÁªÏµÓÊÏ䣺xiaomuchong@tal.com
  • ¸½¼þ 1 : ÄâºÏ.opj
  • 2014-08-20 19:54:01, 16.81 K
4Â¥2014-08-20 19:54:22
ÒÑÔÄ   »Ø¸´´ËÂ¥   ¹Ø×¢TA ¸øTA·¢ÏûÏ¢ ËÍTAºì»¨ TAµÄ»ØÌû

y8954450

Ìú³æ (³õÈëÎÄ̳)

Ëͺ컨һ¶ä
ÒýÓûØÌû:
3Â¥: Originally posted by dingd at 2014-08-20 19:23:17
Êý¾ÝÒ»²¢¸ø³ö°¡£¬·ñÔòË­Ò²²»ÖªÔ­Òò¡£

Êý¾ÝÔÚÉÏÃæÄØ£¬ÄܰïÎÒÒ»ÏÂô£¬Ìرð¸Ðл
5Â¥2014-08-20 19:55:22
ÒÑÔÄ   »Ø¸´´ËÂ¥   ¹Ø×¢TA ¸øTA·¢ÏûÏ¢ ËÍTAºì»¨ TAµÄ»ØÌû
×î¾ßÈËÆøÈÈÌûÍÆ¼ö [²é¿´È«²¿] ×÷Õß »Ø/¿´ ×îºó·¢±í
[¿¼ÑÐ] ²ÄÁϵ÷¼Á +5 СÁõͬѧ߹߹ 2026-04-06 5/250 2026-04-06 18:34 by sherry_1901
[¿¼ÑÐ] ²ÄÁϹ¤³Ì310ר˶µ÷¼Á +14 ÀÌÀÌÎÒ¡­. 2026-04-04 15/750 2026-04-06 14:18 by lqwchd
[¿¼ÑÐ] 085410È˹¤ÖÇÄÜ ³õÊÔ316·Ö Çóµ÷¼Á +7 ²ÐÐÇ·÷Êï 2026-03-31 7/350 2026-04-06 10:09 by À¶ÔÆË¼Óê
[¿¼ÑÐ] Ò»Ö¾Ô¸Î÷°²½»´ó²ÄÁÏѧ˶£¨Ó¢Ò»Êý¶þ£©347£¬Çóµ÷¼Áµ½¸ß·Ö×Ó/²ÄÁÏÏà¹Ø×¨Òµ +8 zju51 2026-03-31 10/500 2026-04-06 09:03 by ×íÎÌwl
[¿¼ÑÐ] 22408 ×Ü·Ö320£¬Ò»ÆªÂÛÎĶþ×÷£¬Á½¸ö¹úÈý£¬Çóµ÷¼Á +3 Leomulufu 2026-04-04 5/250 2026-04-05 19:04 by chongya
[¿¼ÑÐ] Ò»Ö¾Ô¸Çà¿Æ085500£¬³õÊÔ295·Ö£¬¹«¹²¿Î213·Ö +3 Óöµ½µÄÈËÔ¸Íû¶¼Ä 2026-04-05 3/150 2026-04-05 18:45 by À¶ÔÆË¼Óê
[¿¼ÑÐ] Ò»Ö¾Ô¸±±½»´ó²ÄÁϹ¤³Ì×Ü·Ö358Çóµ÷¼Á +6 cs0106 2026-04-05 6/300 2026-04-05 16:34 by imissbao
[¿¼ÑÐ] 323·Ö£¨¼ÆËã»úÊÓ¾õºÍ´óÄ£ÐÍÏîÄ¿£©ÄÜÖ±½ÓÉÏÊÖ +3 chaoxiicy 2026-04-01 3/150 2026-04-05 00:50 by chongya
[¿¼ÑÐ] 11408,335·Ö£¬±¾¿Æ211£¬Çóµ÷¼Á£¬¿Éתרҵ +5 öùÀæ´óöùÓã 2026-04-03 5/250 2026-04-04 22:49 by chongya
[¿¼ÑÐ] 283·Ö²ÄÁÏÓ뻯¹¤Çóµ÷¼Á +29 ÂÞKAKA 2026-04-02 29/1450 2026-04-03 23:56 by userper
[¿¼ÑÐ] ¿¼Ñе÷¼Á +3 15615482637 2026-04-03 3/150 2026-04-03 22:50 by ms629
[¿¼ÑÐ] »úеר˶297 +3 Afksy 2026-04-03 3/150 2026-04-03 14:24 by 1753564080
[¿¼ÑÐ] ²ÄÁϵ÷¼Á +4 Ò»ÑùYWY 2026-04-03 4/200 2026-04-03 09:48 by À¶ÔÆË¼Óê
[¿¼ÑÐ] 312Çóµ÷¼Á +4 ÉÞÔÂÉ« 2026-04-02 5/250 2026-04-03 08:21 by fangshan711
[¿¼ÑÐ] һ־Ըɽ¶«´óѧ£¬085600£¬344 +7 κ×Óper 2026-04-02 8/400 2026-04-02 21:12 by °ÙÁéͯ888
[¿¼ÑÐ] 26¿¼Ñе÷¼Á +4 Wnz.20030617 2026-04-01 5/250 2026-04-02 16:11 by 1939136013¹·×³
[¿¼ÑÐ] »¯Ñ§¹¤³Ìר˶324·Ö£¬Ò»Ö¾Ô¸Öйú¿óÒµ´óѧÇóµ÷¼Á +7 ¹¢¹¢1314 2026-04-01 7/350 2026-04-02 07:40 by ÉÐË®¸óÖ÷
[¿¼ÑÐ] ²ÄÁϵ÷¼Á +12 Ò»ÑùYWY 2026-04-01 12/600 2026-04-02 00:21 by °ÙÃë¹âÄê
[¿¼ÑÐ] 262Çóµ÷¼Á +9 ÀøÖ¾Ò»¶¨·¢ÎÄÕ 2026-03-31 10/500 2026-04-01 12:22 by sunshine0013
[¿¼ÑÐ] Çóµ÷¼Á ÉúÎïѧ 377·Ö +6 zzll03 2026-03-31 6/300 2026-03-31 17:33 by ÌÆãå¶ù
ÐÅÏ¢Ìáʾ
ÇëÌî´¦ÀíÒâ¼û