| 查看: 289 | 回复: 0 | ||
[求助]
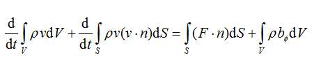
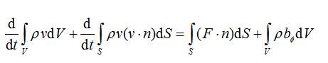
方程Navier-Stokes方程 在啥条件下 下式成立
|
光学工程新思想 |
» 猜你喜欢
一志愿北京化工大学 070300 学硕 336分 求调剂
已经有4人回复
352求调剂
已经有3人回复
一志愿东华大学化学070300,求调剂
已经有8人回复
277材料科学与工程080500求调剂
已经有7人回复
317求调剂
已经有18人回复
293求调剂
已经有5人回复
280分求调剂 一志愿085802
已经有7人回复
0854电子信息求调剂
已经有3人回复
263求调剂
已经有4人回复
石河子大学(211、双一流)硕博研究生长期招生公告
已经有3人回复
找到一些相关的精华帖子,希望有用哦~
求助,帮忙求解下面方程组,谢谢!
已经有13人回复
关于管道流动的N-S方程,省略了一项,请解释一下,谢谢
已经有7人回复
怎样求满足这些条件的平面曲线方程?
已经有10人回复
常微分方程求解公式
已经有7人回复
隐式的微分方程组求解问题。
已经有7人回复
泊松方程黎曼边界条件问题
已经有7人回复
介绍一关于Navier-Stokes方程的神级博文
已经有7人回复
数学物理方程求解!(带边界条件的偏微分方程)
已经有13人回复
急急急!!!!流变学的三大方程在极坐标下的写法(连续性方程、运动方程、能量方程)
已经有4人回复
如何求解下列方程:xlnx=a(x-b)
已经有14人回复
matlab数值求解边界条件微分方程组
已经有7人回复
【求助】急请微分方程高手看下这个方程组!
已经有14人回复
【求助】请教二阶微分方程的特解(含初始条件)
已经有8人回复
【求助】回归方程下面的参数p代表什么意义?
已经有11人回复
【求助】算高压下沸点 克拉贝隆方程
已经有8人回复
科研从小木虫开始,人人为我,我为人人













回复此楼

点击这里搜索更多相关资源