| ²é¿´: 1300 | »Ø¸´: 7 | |||
ccdyjssh½ð³æ (ÕýʽдÊÖ)
|
[ÇóÖú]
Çë½ÌÒ»¸ö¹ØÓÚ¸´±äº¯ÊýµÄ»ý·ÖÎÊÌâ
|
|
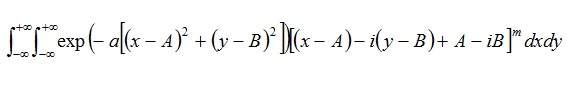
Çó½Ì¸÷·´óÉñ£¬ÏÂÃæµÄÕâÖÖ»ý·Ö£¬³ýÁ˶þÏîʽչ¿ªºóÃæµÄÃݼ¶ÊýÖ®Í⣬»¹ÄÜÓÃʲô°ì·¨Çó½â°¡¡£¡£¡£ÔÚÏߵȡ£¡£¡£ »ý·Ö.jpg |
» ²ÂÄãϲ»¶
311Çóµ÷¼Á
ÒѾÓÐ4È˻ظ´
304Çóµ÷¼Á
ÒѾÓÐ4È˻ظ´
354Çóµ÷¼Á
ÒѾÓÐ7È˻ظ´
321Çóµ÷¼Á
ÒѾÓÐ3È˻ظ´
274Çóµ÷¼Á
ÒѾÓÐ5È˻ظ´
281Çóµ÷¼Á£¨0805£©
ÒѾÓÐ15È˻ظ´
085600²ÄÁÏÓ뻯¹¤µ÷¼Á 324·Ö
ÒѾÓÐ8È˻ظ´
ÄÜÔ´²ÄÁÏ»¯Ñ§¿ÎÌâ×éÕÐÊÕ˶ʿÑо¿Éú8-10Ãû
ÒѾÓÐ10È˻ظ´
267Ò»Ö¾Ô¸ÄϾ©¹¤Òµ´óѧ0817»¯¹¤Çóµ÷¼Á
ÒѾÓÐ8È˻ظ´
328Çóµ÷¼Á£¬Ó¢ÓïÁù¼¶551£¬ÓпÆÑоÀú
ÒѾÓÐ10È˻ظ´
» ±¾Ö÷ÌâÏà¹Ø¼ÛÖµÌùÍÆ¼ö£¬¶ÔÄúͬÑùÓаïÖú:
Ò»¸ö¹ØÓÚ quadgk º¯ÊýÇó»ý·ÖµÄÎÊÌâ
ÒѾÓÐ7È˻ظ´
ÇóÖúÒ»µÀ¸´±äϰÌâ¡£
ÒѾÓÐ3È˻ظ´
Ò»¸öº¯ÊýÓë¸ß˹º¯ÊýµÄ³Ë»ýµÄ»ý·ÖÎÊÌâ
ÒѾÓÐ8È˻ظ´
Çë½ÌÒ»¸ö¹ØÓÚ»úÆ÷È˵ÄÎÊÌâ
ÒѾÓÐ34È˻ظ´
Çë½ÌÒ»¸ö¹ØÓÚSNP·ÖÐ͵ÄÎÊÌâ
ÒѾÓÐ4È˻ظ´
ÇóÖúÒ»µÀ¶¨»ý·Ö
ÒѾÓÐ12È˻ظ´
Çë½ÌÒ»¸ö»ý·ÖÓÃÁôÊý¶¨Àí¼ÆËãµÄÎÊÌâ
ÒѾÓÐ15È˻ظ´
Çë½ÌÒ»¸ö¹ØÓÚ¿¨·½¼ìÑéÑù±¾¹æÄ£µÄÎÊÌâ
ÒѾÓÐ5È˻ظ´
Çë½ÌÒ»¸ö¹ØÓÚÎü¸½µÄÎÊÌâ
ÒѾÓÐ9È˻ظ´
Çó½Ì£º·´³£»ý·ÖµÄ±»»ýº¯ÊýµÄÓнçÐÔÎÊÌâ
ÒѾÓÐ10È˻ظ´
Çë½ÌÒ»¸öMathematica»ý·ÖµÄÎÊÌâ£¨ÖØ½ðÇó½â£©
ÒѾÓÐ6È˻ظ´
Çë½ÌÒ»¸ö¹ØÓÚ¹«ÎñÔ±¿¼ÊÔµÄÎÊÌâ
ÒѾÓÐ5È˻ظ´
¡¾ÇóÖú¡¿Çë½ÌÒ»¸ö¹ØÓÚÁ÷ÌåÁ¦Ñ§ÏàËÆ×¼ÔòµÄÎÊÌâ¡£
ÒѾÓÐ7È˻ظ´
¡¾Çë½Ì¡¿Çë½ÌÒ»¸ö¹ØÓÚͼƬ¾«¶ÈµÄÎÊÌâ
ÒѾÓÐ6È˻ظ´
¡¾ÇóÖú¡¿Çó»ý·Ö³ÌÐòÖб»»ýº¯ÊýÎÊÌâ
ÒѾÓÐ15È˻ظ´
¡¾ÇóÖú¡¿Çë½Ì¸ßÊÖ¹ØÓÚºË´ÅÆ×Öлý·ÖµÄÒ»¸öÎÊÌâ
ÒѾÓÐ10È˻ظ´
¡¾ÇóÖú¡¿Çë½ÌÒ»¸ö¹ØÓÚN-¼×»ùßÁ¿©ÍéͪµÄÎÊÌâ
ÒѾÓÐ12È˻ظ´
¡¾ÇóÖú¡¿¸´±äº¯ÊýÖеķֲ¿»ý·Ö¹«Ê½ÊÇ·ñ³ÉÁ¢
ÒѾÓÐ8È˻ظ´

feixiaolin
ÈÙÓþ°æÖ÷ (ÎÄ̳¾«Ó¢)
-

ר¼Ò¾Ñé: +518 - Ó¦Öú: 942 (²©ºó)
- ¹ó±ö: 1.275
- ½ð±Ò: 3430
- É¢½ð: 58785
- ºì»¨: 532
- ɳ·¢: 11
- Ìû×Ó: 24215
- ÔÚÏß: 2601.8Сʱ
- ³æºÅ: 2139575
- ×¢²á: 2012-11-21
- רҵ: ¹âѧÐÅÏ¢»ñÈ¡Óë´¦Àí
- ¹ÜϽ: Êýѧ
2Â¥2014-06-17 11:44:07
ccdyjssh
½ð³æ (ÕýʽдÊÖ)
- Ó¦Öú: 1 (Ó×¶ùÔ°)
- ½ð±Ò: 1162.8
- É¢½ð: 130
- ºì»¨: 7
- Ìû×Ó: 309
- ÔÚÏß: 221.4Сʱ
- ³æºÅ: 2119621
- ×¢²á: 2012-11-11
- ÐÔ±ð: GG
- רҵ: ·ÇÏßÐÔ¹âѧÓëÁ¿×Ó¹âѧ

3Â¥2014-06-17 14:27:56
feixiaolin
ÈÙÓþ°æÖ÷ (ÎÄ̳¾«Ó¢)
-

ר¼Ò¾Ñé: +518 - Ó¦Öú: 942 (²©ºó)
- ¹ó±ö: 1.275
- ½ð±Ò: 3430
- É¢½ð: 58785
- ºì»¨: 532
- ɳ·¢: 11
- Ìû×Ó: 24215
- ÔÚÏß: 2601.8Сʱ
- ³æºÅ: 2139575
- ×¢²á: 2012-11-21
- רҵ: ¹âѧÐÅÏ¢»ñÈ¡Óë´¦Àí
- ¹ÜϽ: Êýѧ
4Â¥2014-06-17 14:30:21
ccdyjssh
½ð³æ (ÕýʽдÊÖ)
- Ó¦Öú: 1 (Ó×¶ùÔ°)
- ½ð±Ò: 1162.8
- É¢½ð: 130
- ºì»¨: 7
- Ìû×Ó: 309
- ÔÚÏß: 221.4Сʱ
- ³æºÅ: 2119621
- ×¢²á: 2012-11-11
- ÐÔ±ð: GG
- רҵ: ·ÇÏßÐÔ¹âѧÓëÁ¿×Ó¹âѧ

5Â¥2014-06-17 14:43:06
feixiaolin
ÈÙÓþ°æÖ÷ (ÎÄ̳¾«Ó¢)
-

ר¼Ò¾Ñé: +518 - Ó¦Öú: 942 (²©ºó)
- ¹ó±ö: 1.275
- ½ð±Ò: 3430
- É¢½ð: 58785
- ºì»¨: 532
- ɳ·¢: 11
- Ìû×Ó: 24215
- ÔÚÏß: 2601.8Сʱ
- ³æºÅ: 2139575
- ×¢²á: 2012-11-21
- רҵ: ¹âѧÐÅÏ¢»ñÈ¡Óë´¦Àí
- ¹ÜϽ: Êýѧ
6Â¥2014-06-17 15:15:11
ccdyjssh
½ð³æ (ÕýʽдÊÖ)
- Ó¦Öú: 1 (Ó×¶ùÔ°)
- ½ð±Ò: 1162.8
- É¢½ð: 130
- ºì»¨: 7
- Ìû×Ó: 309
- ÔÚÏß: 221.4Сʱ
- ³æºÅ: 2119621
- ×¢²á: 2012-11-11
- ÐÔ±ð: GG
- רҵ: ·ÇÏßÐÔ¹âѧÓëÁ¿×Ó¹âѧ

7Â¥2014-06-18 09:49:44
feixiaolin
ÈÙÓþ°æÖ÷ (ÎÄ̳¾«Ó¢)
-

ר¼Ò¾Ñé: +518 - Ó¦Öú: 942 (²©ºó)
- ¹ó±ö: 1.275
- ½ð±Ò: 3430
- É¢½ð: 58785
- ºì»¨: 532
- ɳ·¢: 11
- Ìû×Ó: 24215
- ÔÚÏß: 2601.8Сʱ
- ³æºÅ: 2139575
- ×¢²á: 2012-11-21
- רҵ: ¹âѧÐÅÏ¢»ñÈ¡Óë´¦Àí
- ¹ÜϽ: Êýѧ
8Â¥2014-06-18 11:16:22













»Ø¸´´ËÂ¥