| ²é¿´: 766 | »Ø¸´: 2 | ||
wanglunzhouгæ (³õÈëÎÄ̳)
|
[ÇóÖú]
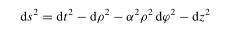
Çó½ÌÒ»ÏÂÕâ¸öѦ¶¨ÚÌ·½³ÌµÄÍÆ³ö ÒÑÓÐ2È˲ÎÓë
|
|
|
|
||
ϦÑôÎ÷ÏÂ½ð³æ (ÖøÃûдÊÖ)
|
¡¾´ð°¸¡¿Ó¦Öú»ØÌû
¸Ðл²ÎÓ룬ӦÖúÖ¸Êý +1
|
|
|
2Â¥2014-06-01 16:03:57
|
|
|
lingaotingÌú³æ (³õÈëÎÄ̳)
|
||
|
3Â¥2014-06-11 09:45:40
|
|














»Ø¸´´ËÂ¥