| ²é¿´: 329 | »Ø¸´: 2 | ||
xiong.ͳæ (³õÈëÎÄ̳)
|
[ÇóÖú]
Çó¸÷λ´óÉñÄ£ÄâÒ»¸ö¶þÔªº¯Êý ÒÑÓÐ1È˲ÎÓë
|
|
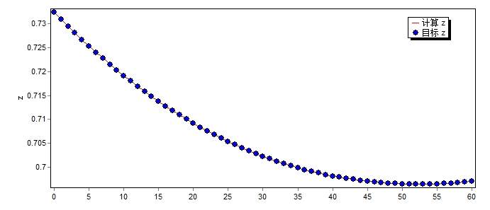
¸÷λ´óÉñ£º ÇóÖúÄ£ÄâÒ»¸ö¶þÔªº¯Êý£¬¾ßÌåÊý¾Ý¼û¸½¼þ¡£¡£ÎÒ´óÖÂÄ£ÄâÁËZÓëζÈTºÍѹÁ¦PµÄº¯ÊýÇúÏߣ¬¿ÉÊǾÍÊÇÄãºÍ²»³ö¾ßÌåµÄº¯Êý¹ØÏµ¡£¡£Çó¸÷λ´óÉñ°ïæ°¡£¡ 20140528205018.jpg |
» ±¾Ìû¸½¼þ×ÊÔ´Áбí
-
»¶Ó¼à¶½ºÍ·´À¡£ºÐ¡Ä¾³æ½öÌṩ½»Á÷ƽ̨£¬²»¶Ô¸ÃÄÚÈݸºÔð¡£
±¾ÄÚÈÝÓÉÓû§×ÔÖ÷·¢²¼£¬Èç¹ûÆäÄÚÈÝÉæ¼°µ½ÖªÊ¶²úȨÎÊÌ⣬ÆäÔðÈÎÔÚÓÚÓû§±¾ÈË£¬Èç¶Ô°æÈ¨ÓÐÒìÒ飬ÇëÁªÏµÓÊÏ䣺xiaomuchong@tal.com - ¸½¼þ 1 : º¯ÊýÄ£Äâ.xlsx
2014-05-28 20:52:58, 12.26 K
» ²ÂÄãϲ»¶
É¢½ð±Ò£¬ÇóºÃÔË£¬×£ÃæÉÏ˳Àû£¡
ÒѾÓÐ81È˻ظ´
»ª¶«Ê¦·¶´óѧоƬÉè¼ÆÐìççÕæÊµË®Æ½Õ¦Ñù
ÒѾÓÐ1È˻ظ´
ÎïÀíѧIÂÛÎÄÈóÉ«/·ÒëÔõôÊÕ·Ñ?
ÒѾÓÐ107È˻ظ´
µ÷¼Á
ÒѾÓÐ0È˻ظ´
¡¾ÐÂ¼ÓÆÂ¡¿ÄÉÃ×µç×ÓÆ÷¼þÏîÄ¿×éÓС°ÁªºÏÅàÑø²©Ê¿Éú¡±Ãû¶î
ÒѾÓÐ0È˻ظ´
Öе²©Ê¿ºó2026ÏîÄ¿5ÔÂ30ÈÕ½ØÖ¹- ¹úÄÚ²©Ê¿ºóÈëÕ¾¡¢µÂ¹úÁ½Äêȫְ
ÒѾÓÐ0È˻ظ´
ÃæÏòÈ«ÇòÉêÇëÈ˵ÄÖе²©Ê¿ºó2026ÏîÄ¿5ÔÂ30ÈÕ½ØÖ¹- ¹úÄÚ²©ºóÈëÕ¾µÂ¹úÁ½Äêȫְ
ÒѾÓÐ0È˻ظ´
¡¾ÐÂ¼ÓÆÂ¡¿ÄÉÃ×µç×ÓÆ÷¼þÏîÄ¿×éÓС°ÁªºÏÅàÑø²©Ê¿Éú¡±Ãû¶î
ÒѾÓÐ2È˻ظ´
ÖØÇì½»´ó²ÄÁÏѧԺ26Äê˶ʿÕÐÉú¸´ÊÔʵʩϸÔòÒѳö¡£»¶Ó¼ÓÈë¹â×Óѧ΢½á¹¹ÓëÆ÷¼þ¿ÎÌâ×é¡£
ÒѾÓÐ0È˻ظ´
±±¹¤´óËÎÏþÑÞ½ÌÊÚÍŶÓÕÐÊÕ2026Äê9ÔÂÈëѧ²©Ê¿¡¾Ñ§²©ºÍר²©Ãû¶î¾ùÓС¿£¡
ÒѾÓÐ1È˻ظ´
Ìì½ò³Ç½¨´óѧÀíѧԺ»¯Ñ§¡¢»·¾³¹¤³Ì¡¢²ÄÁÏÎïÀíµÈ·½Ïò½ÓÊÕ10ÈË
ÒѾÓÐ0È˻ظ´
» ±¾Ö÷ÌâÏà¹Ø¼ÛÖµÌùÍÆ¼ö£¬¶ÔÄúͬÑùÓаïÖú:
ÇóÖú´óÉñÒ»¸ö¹ØÓÚ·½³ÌÖÐÓбäÁ¿µÄÎÊÌâ
ÒѾÓÐ6È˻ظ´
originÖÐÈçºÎÓÃHendersoo-Hasselbach·½³ÌÄâºÏËã³öpKaÖµ£¿
ÒѾÓÐ15È˻ظ´
Çó´óÉñ°ïæmatlabÄâºÏº¯ÊýÇó²ÎÊý
ÒѾÓÐ9È˻ظ´
ÇóÖú¶þÔªº¯ÊýµÄ×îС¶þ³Ë·¨Çó½â
ÒѾÓÐ6È˻ظ´
Á¬Ðøº¯ÊýºÍ²»Á¬ÐøµÄº¯ÊýµÄ¸µÀïÒ¶±ä»»µÄÖ÷Òª²î±ðÊÇʲô£¿
ÒѾÓÐ6È˻ظ´
΢·Ö·½³ÌÇó½â£¨Í¨½âÖк¬hypergeomº¯Êý£©
ÒѾÓÐ17È˻ظ´
¶þÔªº¯Êý¼«ÖµÇó½â
ÒѾÓÐ5È˻ظ´
¶þÔªº¯ÊýÆ«µ¼´æÔÚ£¬ÊDz»ÊǺ¯Êý¾ÍÁ¬Ðø
ÒѾÓÐ35È˻ظ´
ÇóÖú´óÉñ°ïÎÒ¿´¿´Õâ¶Î³ÌÐòÊǸÉʲôµÄ£¿£¨¾ÍÊǶ¨ÒåÕâ¸öº¯ÊýËãʲô£©
ÒѾÓÐ6È˻ظ´
Çë½Ì´óÉñÃÇ£¬ÈçºÎÇóÕâ¸öº¯ÊýµÄ·´º¯Êý£¿
ÒѾÓÐ4È˻ظ´
Çó½â¶þÔªÔº¯Êý
ÒѾÓÐ3È˻ظ´
Ϊʲô¶þÔªº¯ÊýijµãÆ«µ¼ÊýÁ¬Ðø£¬ÔòÒ»¶¨¿É΢£¿Æ«µ¼ÊýÃ÷Ã÷Ö»´ú±íºá×ÝÁ½¸ö·½ÏòµÄÇé¿ö°¡
ÒѾÓÐ9È˻ظ´
ÈçºÎÌí¼Ósaveº¯ÊýʹµÚÒ»´ÎµÄÊý¾ÝÄÜÔÚµÚ¶þ´Î±»¶ÁÈ¡³öÀ´£¡Çó´óÉñ´î¾È£¡
ÒѾÓÐ6È˻ظ´
ÇóÖú´óÉñÈçºÎµÃµ½ÕâÒ»ÌØÊâË¥¼õͼÐεĺ¯Êý¹ØÏµ
ÒѾÓÐ3È˻ظ´
ÇëÎÊmatlabÄâºÏ¶þÔª·½³ÌµÄÎÊÌâ
ÒѾÓÐ3È˻ظ´
½ð±ÒÇóÖú--ÇóÒ»¸ö¶þÔªº¯ÊýµÄ×î´óÖµºÍÆäËû¼«Öµ
ÒѾÓÐ5È˻ظ´
¶þÔªÃݺ¯Êý²ÎÊýÇó½â
ÒѾÓÐ10È˻ظ´
¶þÔªÒ»´Îº¯ÊýÇóÖµÎÊÌâ
ÒѾÓÐ8È˻ظ´
¡¾ÇóÖú¡¿¶þÔªº¯ÊýÄâºÏ
ÒѾÓÐ12È˻ظ´
¡¾ÆäËû¡¿×Ô¶¨ÒåµÄ¶þÔªº¯ÊýÄâºÏ
ÒѾÓÐ6È˻ظ´
dingd
Ìú¸Ëľ³æ (Ö°Òµ×÷¼Ò)
- ¼ÆËãÇ¿Ìû: 4
- Ó¦Öú: 1641 (½²Ê¦)
- ½ð±Ò: 15037.3
- É¢½ð: 101
- ºì»¨: 234
- Ìû×Ó: 3410
- ÔÚÏß: 1223.7Сʱ
- ³æºÅ: 291104
- ×¢²á: 2006-10-28
¡¾´ð°¸¡¿Ó¦Öú»ØÌû
¡ï ¡ï ¡ï ¡ï ¡ï
¸Ðл²ÎÓ룬ӦÖúÖ¸Êý +1
xiong.: ½ð±Ò+4, ¡ï¡ï¡ï¡ï¡ï×î¼Ñ´ð°¸ 2014-05-29 19:31:31
fegg7502: ½ð±Ò+1, ¹ÄÀø½»Á÷ 2014-05-30 10:09:34
¸Ðл²ÎÓ룬ӦÖúÖ¸Êý +1
xiong.: ½ð±Ò+4, ¡ï¡ï¡ï¡ï¡ï×î¼Ñ´ð°¸ 2014-05-29 19:31:31
fegg7502: ½ð±Ò+1, ¹ÄÀø½»Á÷ 2014-05-30 10:09:34
2Â¥2014-05-28 21:35:41
xiong.
ͳæ (³õÈëÎÄ̳)
- Ó¦Öú: 0 (Ó×¶ùÔ°)
- ½ð±Ò: 143.6
- É¢½ð: 127
- ºì»¨: 2
- Ìû×Ó: 49
- ÔÚÏß: 51.6Сʱ
- ³æºÅ: 1432059
- ×¢²á: 2011-10-08
- רҵ: ÄÜÔ´»¯¹¤
¡ï
fegg7502: ½ð±Ò+1, ¹ÄÀø½»Á÷ 2014-05-30 10:09:46
fegg7502: ½ð±Ò+1, ¹ÄÀø½»Á÷ 2014-05-30 10:09:46
Ê×ÏÈ£¬Ð»Ð»ÄãµÄÈÈÇé°ïÖú£¬ÄãÄ£Äâ³öµÄº¯Êý¹ØÏµÓÃÔÚÎÒºóÀ´¼ÆËãµÄÒ»¸ö¹ý³Ìµ±ÖУ¬ÕæµÄºÜ¾«È·£¡²»¹ý£¬ÎÒ»¹ÏëÂé·³Äãһϣ¬ÎÒ»¹ÓÐÁíÍâÒ»×éÊý¾ÝÐèҪģÄâ³öÀàËÆµÄº¯Êý£¬ÓÉÓÚÖÜÁùÒª¿ª×é»á£¬ÏñÎÒÕâÖÖ¼ÆËãÄ£Äâ²ËÄñ¼¶µÄÈËÎ½ñÌì×Ô¼º¿Ï¶¨¸ã²»³ö£¬Ï£ÍûÄãÄÜÔÙ°ïÒ»´Î棡 ҪģÄâµÄ¾ßÌå²ÎÊý´ý»áÎһᷢ¸öÌû×Ó£¡ÔٴθÐл£¡ |
3Â¥2014-05-30 09:50:25














»Ø¸´´ËÂ¥
ҪģÄâµÄ¾ßÌå²ÎÊý´ý»áÎһᷢ¸öÌû×Ó£¡ÔٴθÐл£¡