| 查看: 1278 | 回复: 3 | ||
[求助]
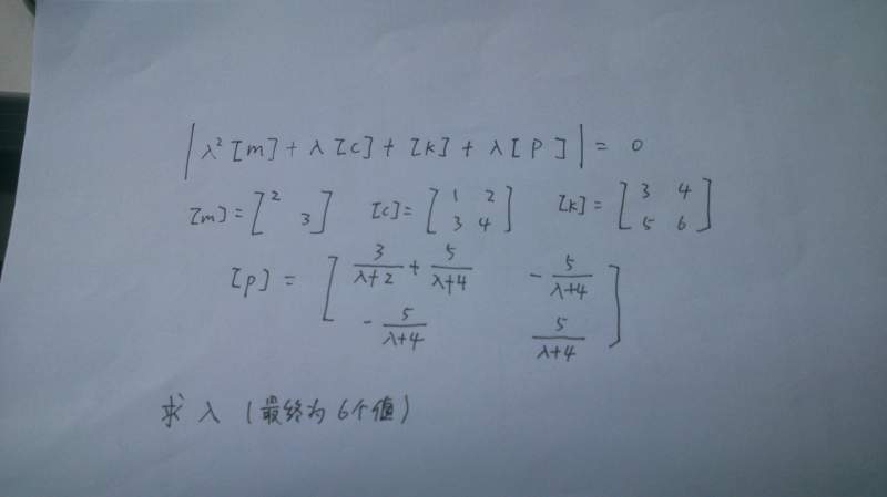
求解矩阵特征值 已有1人参与
|
||
|
|
||
alorsmail铁杆木虫 (著名写手)
|
【答案】应助回帖
感谢参与,应助指数 +1
|
|
|
2楼2014-04-26 17:24:11
|
|
|
|
3楼2014-04-26 21:02:30
|
|
|
alorsmail铁杆木虫 (著名写手)
|
||
|
4楼2014-04-26 21:45:22
|
|














回复此楼
5