24小时热门版块排行榜    

查看: 422  |  回复: 1

守着云开

铜虫 (小有名气)

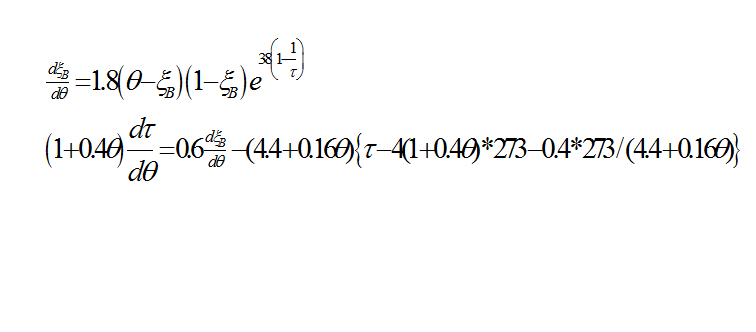
[求助] 怎么用matlab求解这个偏微分方程组,谢谢大家指点?

怎么用matlab求解这个偏微分方程组,谢谢大家指点?
这是我写得两个程序,但是运行的时候总是出错,大家也帮忙看一下
程序一:
function dx=weifen_fun(t,x)
Dx-Dy*(0.6/(1+0.4*t))=t^2*69.888/(1+0.4*t)+t*2096.64/(1+0.4*t)+4914/(1+0.4*t)-x*(4.4+0.16*t)/(1+0.4*t);
Dy-y^2*1.8*exp(38)*exp(1-1/x)+y*1.8*exp(38)*exp(1-1/x)*(t+1)=1.8*exp(38)*exp(1-1/x)*t;

clear,clc;
t12=linspace[0 1];
x0=0
[t,x]=ode45(@weifen_fun,tspan,0);
plot(x,t);
grid on

程序二:
function dz=weifeng_fun(t,z)
dz(2,1)=dz(1,1)*(0.6/(1+0.4*t))+t^2*69.888/(1+0.4*t)+t*2096.64/(1+0.4*t)+4914/(1+0.4*t)-z(2)*(4.4+0.16*t)/(1+0.4*t);
dz(1,1)=z(1)^2*1.8*exp(38)*exp(1-1/z(2))-z(1)*1.8*exp(38)*exp(1-1/z(2))*(t+1)+1.8*exp(38)*exp(1-1/z(2))*t;

clear,clc;
t12=linspace(0,0.2,1);
[t,z]=ode45('weifeng_fun',t12,[2,0]);
plot(t,z(:,1))
grid on
怎么用matlab求解这个偏微分方程组,谢谢大家指点?
微分方程组.png
回复此楼

» 猜你喜欢

» 本主题相关价值贴推荐,对您同样有帮助:

已阅   回复此楼   关注TA 给TA发消息 送TA红花 TA的回帖

Bruce_lee

铜虫 (著名写手)

这个问题的初始和边界条件好像没有啊
努力就有收获!
2楼2014-01-22 15:19:26
已阅   回复此楼   关注TA 给TA发消息 送TA红花 TA的回帖
相关版块跳转 我要订阅楼主 守着云开 的主题更新
最具人气热帖推荐 [查看全部] 作者 回/看 最后发表
[考研] 321求调剂 +8 何润采123 2026-03-18 8/400 2026-03-19 15:23 by 丁丁*
[考研] 085600材料与化工调剂 324分 +10 llllkkkhh 2026-03-18 12/600 2026-03-19 14:33 by llllkkkhh
[考研] 求调剂,一志愿:南京航空航天大学大学 ,080500材料科学与工程学硕,总分289分 +3 @taotao 2026-03-19 3/150 2026-03-19 14:07 by peike
[考研] 0703化学调剂 +5 pupcoco 2026-03-17 8/400 2026-03-19 13:58 by houyaoxu
[考研] 一志愿福大288有机化学,求调剂 +3 小木虫200408204 2026-03-18 3/150 2026-03-19 13:31 by houyaoxu
[考研] 一志愿中海洋材料工程专硕330分求调剂 +7 小材化本科 2026-03-18 7/350 2026-03-19 10:46 by Linda Hu
[考研] 330求调剂 +3 小材化本科 2026-03-18 3/150 2026-03-18 21:55 by 无懈可击111
[考研] 一志愿中国海洋大学,生物学,301分,求调剂 +4 1孙悟空 2026-03-17 4/200 2026-03-18 17:59 by fivewind
[考研] 295求调剂 +3 一志愿京区211 2026-03-18 5/250 2026-03-18 17:03 by zhaoqian0518
[考研] 材料专硕306英一数二 +10 z1z2z3879 2026-03-16 13/650 2026-03-18 14:20 by 007_lilei
[考研] 工科材料085601 279求调剂 +6 困于星晨 2026-03-17 6/300 2026-03-18 10:21 by kkcoco25
[基金申请] 被我言中:新模板不强调格式了,假专家开始管格式了 +4 beefly 2026-03-14 4/200 2026-03-17 22:04 by 黄鸟于飞Chao
[考研] 268求调剂 +7 好运连绵不绝 2026-03-12 8/400 2026-03-17 20:28 by xilongliang
[考研] 材料与化工专硕调剂 +5 heming3743 2026-03-16 5/250 2026-03-17 14:03 by 勇敢太监王公公
[考研] 考研调剂 +3 淇ya_~ 2026-03-17 5/250 2026-03-17 09:25 by Winj1e
[考研] 机械专硕325,寻找调剂院校 +3 y9999 2026-03-15 5/250 2026-03-16 19:58 by y9999
[考研] 321求调剂 +5 大米饭! 2026-03-15 5/250 2026-03-16 16:33 by houyaoxu
[考研] 070300化学学硕求调剂 +6 太想进步了0608 2026-03-16 6/300 2026-03-16 16:13 by kykm678
[考研] 277材料科学与工程080500求调剂 +3 自由煎饼果子 2026-03-16 3/150 2026-03-16 14:10 by 运气yunqi
[考研] 0856求调剂 +3 刘梦微 2026-03-15 3/150 2026-03-16 10:00 by houyaoxu
信息提示
请填处理意见