| 查看: 436 | 回复: 4 | ||
yixiao321木虫 (正式写手)
后知先觉
|
[求助]
两道量子力学题求助已有1人参与
|
|
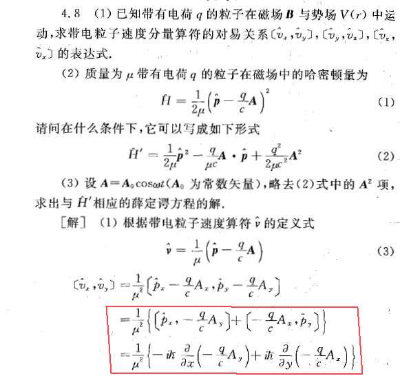
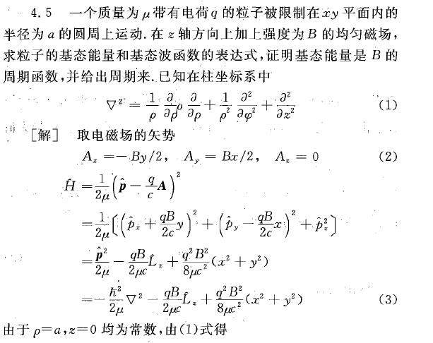
第一道题是不知道这里的量子数m什么条件下就可以加1?(图中红框所示) 第二道题是不知道为什么-Ayqx-Axqy 消去了?(图中红框所示) 想了半天想不出了,大家帮忙看看,先谢谢各位了。 题一1.jpg 题一2.jpg 题一3.jpg 题二.jpg |
» 猜你喜欢
博士读完未来一定会好吗
已经有38人回复
谈谈两天一夜的“延安行”
已经有3人回复
之前让一硕士生水了7个发明专利,现在这7个获批发明专利的维护费可从哪儿支出哈?
已经有11人回复
氨基封端PDMS和HDI反应快速固化
已经有10人回复
论文投稿求助
已经有4人回复
Applied Surface Science 这个期刊。有哪位虫友投过的能把word模板发给我参考一下嘛
已经有3人回复
投稿精细化工
已经有6人回复
博士申请都是内定的吗?
已经有9人回复
心脉受损
已经有8人回复
» 本主题相关价值贴推荐,对您同样有帮助:
有几道物化题求助大家!
已经有9人回复
求助一道量子力学题
已经有4人回复
两道分析化学题。。求助!!
已经有8人回复
两道关于相律的物理化学题目
已经有3人回复
量子力学中,表象变换问题,求助
已经有41人回复
求助-两道分子生物学习题答案
已经有6人回复
求助各位大神量子力学入门书籍,请知道的进来说下
已经有28人回复
求助:量子力学中几率流密度的问题
已经有9人回复
求助一道物化题
已经有16人回复
求助两道数学题目~一个与线性代数有关
已经有15人回复
两道热力学的习题求助
已经有12人回复
求助两道题的解答
已经有9人回复
求助数学题两题 关于向量
已经有3人回复
【求助】请高手们介绍下自学高等量子力学用谁的书比较好?
已经有24人回复
【求助】请教 两道题
已经有5人回复
【求助】问几个关于量子力学的基本问题
已经有11人回复
【求助】求解一道有关泡利矩阵的量子力学习题
已经有12人回复
【求助】求助:电子版的量子力学方面的书,普及基础的!
已经有7人回复

hulahulapopo
银虫 (正式写手)
还能自定义头衔----头衔
- 应助: 19 (小学生)
- 金币: 183
- 散金: 1833
- 红花: 8
- 帖子: 535
- 在线: 215.6小时
- 虫号: 1626814
- 注册: 2012-02-19
- 性别: GG
- 专业: 物理学II

2楼2013-12-31 00:09:23
yixiao321
木虫 (正式写手)
后知先觉
- 应助: 13 (小学生)
- 金币: 2309.1
- 散金: 100
- 红花: 5
- 帖子: 741
- 在线: 210.1小时
- 虫号: 2089433
- 注册: 2012-10-27
- 性别: GG
- 专业: 光学

3楼2013-12-31 12:41:40
yixiao321
木虫 (正式写手)
后知先觉
- 应助: 13 (小学生)
- 金币: 2309.1
- 散金: 100
- 红花: 5
- 帖子: 741
- 在线: 210.1小时
- 虫号: 2089433
- 注册: 2012-10-27
- 性别: GG
- 专业: 光学

4楼2013-12-31 22:30:37
hulahulapopo
银虫 (正式写手)
还能自定义头衔----头衔
- 应助: 19 (小学生)
- 金币: 183
- 散金: 1833
- 红花: 8
- 帖子: 535
- 在线: 215.6小时
- 虫号: 1626814
- 注册: 2012-02-19
- 性别: GG
- 专业: 物理学II

5楼2013-12-31 23:29:52













回复此楼
yixiao321