版块导航
正在加载中...
客户端APP下载
论文辅导
申博辅导
登录
注册
帖子
帖子
用户
本版
应《网络安全法》要求,自2017年10月1日起,未进行实名认证将不得使用互联网跟帖服务。为保障您的帐号能够正常使用,请尽快对帐号进行手机号验证,感谢您的理解与支持!
24小时热门版块排行榜
>
论坛更新日志
(1839)
>
虫友互识
(129)
>
公派出国
(50)
>
导师招生
(47)
>
教师之家
(22)
>
论文投稿
(20)
>
基金申请
(16)
>
硕博家园
(15)
>
考博
(14)
>
休闲灌水
(14)
>
考研
(12)
>
文献求助
(10)
>
外文书籍求助
(7)
>
找工作
(7)
>
博后之家
(5)
>
论文道贺祈福
(5)
小木虫论坛-学术科研互动平台
»
专业学科区
»
数学
»
基础数学
»
偏微分方程求解
6
1/1
返回列表
查看: 1121 | 回复: 5
只看楼主
@他人
存档
新回复提醒
(忽略)
收藏
在APP中查看
HamiltonKe
银虫
(正式写手)
应助: 2
(幼儿园)
金币: 322.2
散金: 191
红花: 1
帖子: 397
在线: 123.1小时
虫号: 2828231
注册: 2013-11-26
专业: 固体力学
[
求助
]
偏微分方程求解
已有1人参与
双调和偏微分方程,求大神提供一下解析解
搜狗截图20131130143229.png
回复此楼
» 猜你喜欢
上海工程技术大学【激光智能制造】课题组招收硕士
已经有6人回复
带资进组求博导收留
已经有11人回复
自荐读博
已经有5人回复
求个博导看看
已经有16人回复
上海工程技术大学张培磊教授团队招收博士生
已经有4人回复
求助院士们,这个如何合成呀
已经有4人回复
临港实验室与上科大联培博士招生1名
已经有9人回复
写了一篇“相变储能技术在冷库中应用”的论文,论文内容以实验为主,投什么期刊合适?
已经有6人回复
最近几年招的学生写论文不引自己组发的文章
已经有11人回复
中科院杭州医学所招收博士生一名(生物分析化学、药物递送)
已经有3人回复
» 本主题相关价值贴推荐,对您同样有帮助:
偏微分方程求解!
已经有4人回复
求推荐求解偏微分方程组的书
已经有3人回复
哪位大神给指导下如果求解一个偏微分方程组
已经有11人回复
<二阶线性偏微分方程>课程
已经有5人回复
抛物型偏微分方程的数值解求解问题,谢谢!
已经有14人回复
二阶非线性微分方程求解
已经有14人回复
comsol可直接求解高阶偏微分方程吗?
已经有3人回复
求解偏微分方程
已经有7人回复
请教用matlab求解一个非线性偏微分方程组的数值解
已经有8人回复
Matlab求解偏微分方程组
已经有22人回复
【求助】用pdepe求解偏微分方程
已经有10人回复
【求助】MATLAB 有限差分法(FDM)求解偏微分方程
已经有22人回复
【求助】积分微分方程matlab求解
已经有6人回复
【求助】求解一个二阶非线性微分方程x''+Ax-B/(x^3)=C
已经有6人回复
【求助】Python 中 求解微分方程 odeint 的用法
已经有11人回复
【原创】长江三角洲偏微分方程博士生论坛
已经有11人回复
【求助】matlab怎么求解偏微分方程组啊,先谢谢了
已经有13人回复
【求助】有限元法求解二阶偏微分方程组
已经有6人回复
【求助】常微分方程组的解析解
已经有3人回复
【求助】偏微分方程的基本解
已经有5人回复
【求助】偏微分方程解法
已经有19人回复
【分享】PDECOL-经典数值求解非线性偏微分方程组源程序
已经有142人回复
1楼
2013-11-30 14:42:28
已阅
回复此楼
关注TA
给TA发消息
送TA红花
TA的回帖
顿顿人
银虫
(小有名气)
应助: 0
(幼儿园)
金币: 230.2
散金: 48
红花: 3
帖子: 175
在线: 2.1小时
虫号: 2787418
注册: 2013-11-08
性别: GG
专业: 物理海洋学
有解析解吗?只知道能数值解
[ 发自小木虫客户端 ]
赞
一下
回复此楼
理可顿悟,事须渐修
2楼
2013-11-30 14:52:21
已阅
回复此楼
关注TA
给TA发消息
送TA红花
TA的回帖
feixiaolin
荣誉版主
(文坛精英)
专家经验: +518
应助: 942
(博后)
贵宾: 1.275
金币: 3430
散金: 58785
红花: 532
沙发: 11
帖子: 24215
在线: 2601.8小时
虫号: 2139575
注册: 2012-11-21
专业: 光学信息获取与处理
管辖:
数学
http://www.cnki.com.cn/Article/CJFDTotal-SXWX200901010.htm
赞
一下
回复此楼
3楼
2013-11-30 15:58:09
已阅
回复此楼
关注TA
给TA发消息
送TA红花
TA的回帖
peterflyer
木虫之王
(文学泰斗)
peterflyer
数学EPI: 10
应助: 20282
(院士)
金币: 145872
红花: 1374
帖子: 93086
在线: 7693.9小时
虫号: 1482829
注册: 2011-11-08
性别: GG
专业: 功能陶瓷
【答案】应助回帖
感谢参与,应助指数 +1
你不给出足够的边界条件,如何解得出偏微分方程定解问题的解析解?楼主还以为这是常微分方程呢,可以先求通解,再根据边界或初始条件求出特解?
赞
一下
回复此楼
4楼
2013-11-30 22:44:31
已阅
回复此楼
关注TA
给TA发消息
送TA红花
TA的回帖
HamiltonKe
银虫
(正式写手)
应助: 2
(幼儿园)
金币: 322.2
散金: 191
红花: 1
帖子: 397
在线: 123.1小时
虫号: 2828231
注册: 2013-11-26
专业: 固体力学
引用回帖:
4楼
:
Originally posted by
peterflyer
at 2013-11-30 22:44:31
你不给出足够的边界条件,如何解得出偏微分方程定解问题的解析解?楼主还以为这是常微分方程呢,可以先求通解,再根据边界或初始条件求出特解?
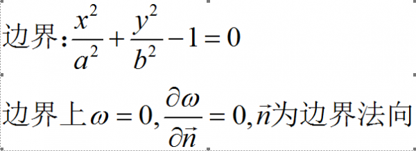
这个是边界条件
搜狗截图20131201172850.png
赞
一下
回复此楼
5楼
2013-12-01 17:29:44
已阅
回复此楼
关注TA
给TA发消息
送TA红花
TA的回帖
终之太刀—晓
铁杆木虫
(著名写手)
数学爱好者
数学EPI: 7
应助: 282
(大学生)
贵宾: 0.018
金币: 2934.2
散金: 5589
红花: 53
帖子: 1809
在线: 401.6小时
虫号: 3469007
注册: 2014-10-12
性别:
MM
专业: 偏微分方程
【答案】应助回帖
无妨采用变分原理求数值解。
还有询问楼主,那个lamda是特征值么,楼主想问特征值跟特征函数;还是就求这个PDE的解,lamda,C是固定常数?
赞
一下
回复此楼
PreferenceforMathematics
6楼
2014-11-16 03:03:23
已阅
回复此楼
关注TA
给TA发消息
送TA红花
TA的回帖
相关版块跳转
数理科学综合
机械
物理
数学
农林
食品
地学
能源
信息科学
土木建筑
航空航天
转基因
我要订阅楼主
HamiltonKe
的主题更新
6
1/1
返回列表
如果回帖内容含有宣传信息,请如实选中。否则帐号将被全论坛禁言
普通表情
龙
兔
虎
猫
百度网盘
|
360云盘
|
千易网盘
|
华为网盘
在新窗口页面中打开自己喜欢的网盘网站,将文件上传后,然后将下载链接复制到帖子内容中就可以了。
信息提示
关闭
请填处理意见
关闭
确定