版块导航
正在加载中...
客户端APP下载
登录
注册
帖子
帖子
用户
本版
应《网络安全法》要求,自2017年10月1日起,未进行实名认证将不得使用互联网跟帖服务。为保障您的帐号能够正常使用,请尽快对帐号进行手机号验证,感谢您的理解与支持!
24小时热门版块排行榜
>
论坛更新日志
(2330)
>
导师招生
(1467)
>
招聘信息布告栏
(332)
>
虫友互识
(203)
>
基金申请
(68)
>
论文投稿
(65)
>
考博
(43)
>
文献求助
(37)
>
博后之家
(32)
>
公派出国
(28)
>
硕博家园
(24)
>
仿真模拟
(23)
>
论文道贺祈福
(18)
>
找工作
(18)
>
数理科学综合
(15)
>
教师之家
(15)
小木虫论坛-学术科研互动平台
»
专业学科区
»
数学
»
工科数学
»
偏微分方程组求解
8
1/1
返回列表
查看: 966 | 回复: 7
只看楼主
@他人
存档
新回复提醒
(忽略)
收藏
在APP中查看
huanying246
铜虫
(初入文坛)
应助: 0
(幼儿园)
金币: 168.4
帖子: 37
在线: 14.8小时
虫号: 2028074
注册: 2012-09-25
专业: 动力学与控制
[
求助
]
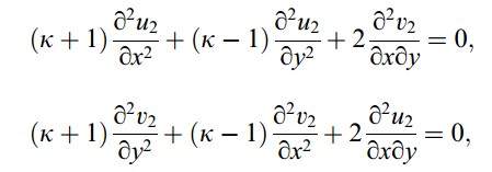
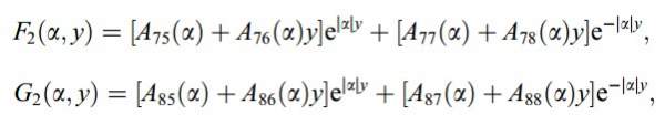
偏微分方程组求解
请问如图所示的偏微分方程组,经过积分变换,最后那个F和G的表达式是如何来的?
是否有相关的文章或者资料可以查。
1.jpg
2.jpg
3.jpg
回复此楼
» 猜你喜欢
请问大佬b0816评完了吗
已经有7人回复
评审感受-评审感受-评审感受
已经有16人回复
本人最近太闲了,谁有问题可以提,每天会统一回复
已经有14人回复
这年头没有找到涵评专家,还有中面上的可能吗
已经有7人回复
青C资助名额大幅增加!
已经有12人回复
重磅!青年科学基金项目(C类)资助增幅预计超过50%
已经有6人回复
有带发论文的吗
已经有3人回复
导师各种操作恶心咋办
已经有13人回复
护理论文 晋升
已经有5人回复
求助大佬sci投稿哪个好中
已经有4人回复
» 本主题相关价值贴推荐,对您同样有帮助:
偏微分方程求解!
已经有4人回复
求推荐求解偏微分方程组的书
已经有3人回复
matlab如何求解一个非线性微分方程组
已经有8人回复
抛物型偏微分方程的数值解求解问题,谢谢!
已经有14人回复
该如何列全偏微分方程组的边界条件?
已经有14人回复
matlab有限差分法求解复杂的偏微分方程组
已经有19人回复
Matlab求解偏微分方程组
已经有22人回复
请问如何求解二元一阶微分方程组
已经有24人回复
高金求助matlab解微分方程组
已经有12人回复
一个偏微分方程组(包括边界条件)如何求解得到自振频率和振型?
已经有4人回复
【求助】用pdepe求解偏微分方程
已经有10人回复
【求助】请教非齐次常微分方程组的解析解法
已经有4人回复
【求助】MATLAB 有限差分法(FDM)求解偏微分方程
已经有22人回复
【求助】积分微分方程matlab求解
已经有6人回复
【求助】matlab怎么求解偏微分方程组啊,先谢谢了
已经有13人回复
【求助】求助非线性偏微分方程求解
已经有3人回复
【求助】有限元法求解二阶偏微分方程组
已经有6人回复
【求助】求助用matlab解偏微分方程
已经有15人回复
【求助】偏微分方程的基本解
已经有5人回复
【求助】偏微分方程解法
已经有19人回复
【分享】PDECOL-经典数值求解非线性偏微分方程组源程序
已经有142人回复
不知道说什么
1楼
2013-11-19 17:11:47
已阅
回复此楼
关注TA
给TA发消息
送TA红花
TA的回帖
feixiaolin
荣誉版主
(文坛精英)
专家经验: +518
应助: 942
(博后)
贵宾: 1.275
金币: 3880
散金: 58785
红花: 532
沙发: 11
帖子: 24215
在线: 2601.8小时
虫号: 2139575
注册: 2012-11-21
专业: 光学信息获取与处理
管辖:
数学
查“二阶线性齐次偏微分方程”,可得答案。
赞
一下
回复此楼
2楼
2013-11-19 17:53:52
已阅
回复此楼
关注TA
给TA发消息
送TA红花
TA的回帖
huanying246
铜虫
(初入文坛)
应助: 0
(幼儿园)
金币: 168.4
帖子: 37
在线: 14.8小时
虫号: 2028074
注册: 2012-09-25
专业: 动力学与控制
引用回帖:
2楼
:
Originally posted by
feixiaolin
at 2013-11-19 17:53:52
查“二阶线性齐次偏微分方程”,可得答案。
查什么?话说我专业不是数学!
赞
一下
回复此楼
不知道说什么
3楼
2013-11-19 19:36:29
已阅
回复此楼
关注TA
给TA发消息
送TA红花
TA的回帖
huanying246
铜虫
(初入文坛)
应助: 0
(幼儿园)
金币: 168.4
帖子: 37
在线: 14.8小时
虫号: 2028074
注册: 2012-09-25
专业: 动力学与控制
引用回帖:
2楼
:
Originally posted by
feixiaolin
at 2013-11-19 17:53:52
查“二阶线性齐次偏微分方程”,可得答案。
请问是查数学物理方程还是数学手册?
《数学物理方程》里面木有涉及方程组的例子。
赞
一下
回复此楼
不知道说什么
4楼
2013-11-19 19:41:33
已阅
回复此楼
关注TA
给TA发消息
送TA红花
TA的回帖
feixiaolin
荣誉版主
(文坛精英)
专家经验: +518
应助: 942
(博后)
贵宾: 1.275
金币: 3880
散金: 58785
红花: 532
沙发: 11
帖子: 24215
在线: 2601.8小时
虫号: 2139575
注册: 2012-11-21
专业: 光学信息获取与处理
管辖:
数学
引用回帖:
4楼
:
Originally posted by
huanying246
at 2013-11-19 19:41:33
请问是查数学物理方程还是数学手册?
《数学物理方程》里面木有涉及方程组的例子。...
《数学物理方程》里面有的。
赞
一下
回复此楼
5楼
2013-11-19 20:08:33
已阅
回复此楼
关注TA
给TA发消息
送TA红花
TA的回帖
huanying246
铜虫
(初入文坛)
应助: 0
(幼儿园)
金币: 168.4
帖子: 37
在线: 14.8小时
虫号: 2028074
注册: 2012-09-25
专业: 动力学与控制
引用回帖:
5楼
:
Originally posted by
feixiaolin
at 2013-11-19 20:08:33
《数学物理方程》里面有的。...
难不成看的不是一本教材?求分享!
赞
一下
回复此楼
不知道说什么
6楼
2013-11-19 20:41:37
已阅
回复此楼
关注TA
给TA发消息
送TA红花
TA的回帖
feixiaolin
荣誉版主
(文坛精英)
专家经验: +518
应助: 942
(博后)
贵宾: 1.275
金币: 3880
散金: 58785
红花: 532
沙发: 11
帖子: 24215
在线: 2601.8小时
虫号: 2139575
注册: 2012-11-21
专业: 光学信息获取与处理
管辖:
数学
引用回帖:
6楼
:
Originally posted by
huanying246
at 2013-11-19 20:41:37
难不成看的不是一本教材?求分享!...
杨华军 《数学物理方程》 电子工业版
王定江,应用偏微分方程,浙江大学出版社 ch02
赞
一下
回复此楼
7楼
2013-11-19 21:22:20
已阅
回复此楼
关注TA
给TA发消息
送TA红花
TA的回帖
曹子恒
铜虫
(正式写手)
应助: 37
(小学生)
金币: 246.2
散金: 550
红花: 5
沙发: 2
帖子: 843
在线: 412小时
虫号: 2801143
注册: 2013-11-14
性别: GG
专业: 机械动力学
【答案】应助回帖
★ ★ ★ ★ ★ ★ ★ ★ ★ ★
huanying246: 金币+10,
★★★
很有帮助, 确实高数可以解决,不过相应的变换还是需要了解一下!我已经解决此问题了!
2013-11-25 15:41:50
先不用看数理统计,那个太深了,鉴于楼主没学过数学,建议楼主先看同济版的高等数学(下)。
赞
一下
回复此楼
8楼
2013-11-24 16:48:20
已阅
回复此楼
关注TA
给TA发消息
送TA红花
TA的回帖
相关版块跳转
数理科学综合
机械
物理
数学
农林
食品
地学
能源
信息科学
土木建筑
航空航天
转基因
我要订阅楼主
huanying246
的主题更新
8
1/1
返回列表
如果回帖内容含有宣传信息,请如实选中。否则帐号将被全论坛禁言
普通表情
龙
兔
虎
猫
百度网盘
|
360云盘
|
千易网盘
|
华为网盘
在新窗口页面中打开自己喜欢的网盘网站,将文件上传后,然后将下载链接复制到帖子内容中就可以了。
信息提示
关闭
请填处理意见
关闭
确定