| 查看: 435 | 回复: 1 | |||
小虫虫LG木虫 (正式写手)
|
[求助]
求助一个量子问题的积分推导
|
|
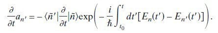
已知: 求: 应该类似于量子跃迁里面的一些运算, 积分过程中对那个e指数做了适当的近似处理,但是忘掉了,所以积不出来只好求教大家。 [ Last edited by 小虫虫LG on 2013-11-6 at 16:20 ] |
» 猜你喜欢
290调剂生物0860
已经有5人回复
359求调剂
已经有3人回复
求调剂,985材料与化工348分
已经有5人回复
211本科材料化工求调剂
已经有9人回复
材料考研调剂
已经有24人回复
366求调剂
已经有5人回复
求调剂,一志愿大连理工大学354分
已经有5人回复
308求调剂
已经有3人回复
266求调剂,一志愿哈工程电子信息,本科获多项国奖和省奖
已经有7人回复
求调剂
已经有12人回复
» 本主题相关价值贴推荐,对您同样有帮助:
求助一个固体的公式推导。
已经有4人回复
求助一个量子的题目推导
已经有3人回复
求助一个生态学基础问题
已经有3人回复
一个简单的物理小问题
已经有28人回复
关于量子化条件
已经有5人回复
求助:量子力学中几率流密度的问题
已经有9人回复
求助一个LMI问题
已经有10人回复
求助一个量子力学的问题
已经有11人回复
【求助】一个没想清楚的问题—纳米粒子和量子点的区别
已经有21人回复
【求助】一个关于能量的问题
已经有6人回复
【求助】问几个关于量子力学的基本问题
已经有11人回复
【求助】一个结构优化的问题
已经有11人回复
【求助】请教一个m062x的问题
已经有7人回复
【求助】量子点与小肽连接的分离问题
已经有5人回复
racoon01
专家顾问 (著名写手)
-

专家经验: +213 - 物理EPI: 25
- 应助: 212 (大学生)
- 金币: 24355.2
- 散金: 27
- 红花: 71
- 帖子: 2438
- 在线: 643.2小时
- 虫号: 1282452
- 注册: 2011-05-01
- 专业: 中国近代史、现代史
- 管辖: 物理

2楼2013-11-09 18:36:49













回复此楼