| ²é¿´: 986 | »Ø¸´: 4 | ||
С³æ³æLGľ³æ (ÕýʽдÊÖ)
|
[ÇóÖú]
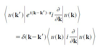
ÇóÖúÒ»¸ö¹ÌÌåµÄ¹«Ê½ÍƵ¼¡£
|
|
|
|
||
abazpzгæ (СÓÐÃûÆø)
|
||
![]() |
||
|
2Â¥2013-11-01 15:44:51
|
|
|
С³æ³æLGľ³æ (ÕýʽдÊÖ)
|
||
|
3Â¥2013-11-01 16:03:29
|
|
|
bfamqÌú¸Ëľ³æ (ÖøÃûдÊÖ)
|
||
![]() |
||
|
4Â¥2013-11-01 16:10:16
|
|
|
zhengyongyb½ð³æ (ÕýʽдÊÖ)
|
¡¾´ð°¸¡¿Ó¦Öú»ØÌû
¡ï ¡ï ¡ï ¡ï ¡ï ¡ï ¡ï ¡ï ¡ï ¡ï
¸Ðл²ÎÓ룬ӦÖúÖ¸Êý +1 С³æ³æLG: ½ð±Ò+10, ¡ï¡ï¡ïºÜÓаïÖú, ÌṩµÄ˼·ºÜºÃ²»¹ýÎÒ»¹Ã»ÓÐËã³öÀ´¡£µÈËã³öÀ´ÔÙ²¹ÉÏÁíÍâÒ»°ë½ð±Ò¡£ 2013-11-05 21:45:24
|
|
|
5Â¥2013-11-01 23:18:01
|
|














»Ø¸´´ËÂ¥
