| ²é¿´: 1040 | »Ø¸´: 10 | ||||
jiaomx2006гæ (СÓÐÃûÆø)
|
[ÇóÖú]
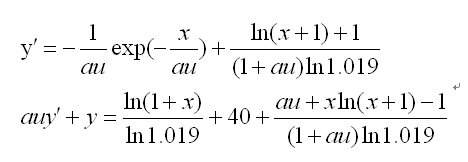
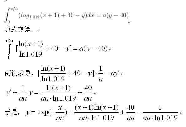
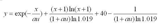
Çó½âÈçÏ·½³Ì£¬u aΪ³£Êý£¬Çë½Ì¸ßÊÖ~
|
|||
|
|
||||
Ê®ÎåµÄÔÂÑÀ½ð³æ (ÕýʽдÊÖ)
|
||||
|
2Â¥2013-11-05 20:32:51
|
|
|||
feixiaolinÈÙÓþ°æÖ÷ (ÎÄ̳¾«Ó¢)
|
¡¾´ð°¸¡¿Ó¦Öú»ØÌû
¡ï ¡ï ¡ï ¡ï ¡ï ¡ï ¡ï ¡ï ¡ï ¡ï ¡ï ¡ï ¡ï ¡ï ¡ï ¡ï ¡ï ¡ï ¡ï ¡ï
¸Ðл²ÎÓ룬ӦÖúÖ¸Êý +1 jiaomx2006: ½ð±Ò+20, ¡ï¡ï¡ïºÜÓаïÖú 2013-11-06 10:46:20
» ±¾Ìû¸½¼þ×ÊÔ´Áбí
2013-11-05 20:33:47, 27.13 K
|
|||
|
3Â¥2013-11-05 20:35:44
|
|
|||
feixiaolinÈÙÓþ°æÖ÷ (ÎÄ̳¾«Ó¢)
|
||||
|
4Â¥2013-11-05 20:38:04
|
|
|||
feixiaolinÈÙÓþ°æÖ÷ (ÎÄ̳¾«Ó¢)
|
||||
|
5Â¥2013-11-05 22:16:50
|
|
|||
jiaomx2006гæ (СÓÐÃûÆø)
|
||||
|
6Â¥2013-11-06 09:40:43
|
|
|||
jiaomx2006гæ (СÓÐÃûÆø)
|
||||
|
7Â¥2013-11-06 09:42:04
|
|
|||
feixiaolinÈÙÓþ°æÖ÷ (ÎÄ̳¾«Ó¢)
|
||||
|
8Â¥2013-11-06 12:56:48
|
|
|||
jiaomx2006гæ (СÓÐÃûÆø)
|
||||
|
9Â¥2013-11-06 13:47:10
|
|
|||
peterflyer
|
||||
|
10Â¥2013-11-07 01:34:25
|
|













»Ø¸´´ËÂ¥

