±±¾©Ê¯ÓÍ»¯¹¤Ñ§Ôº2026ÄêÑо¿ÉúÕÐÉú½ÓÊÕµ÷¼Á¹«¸æ
²é¿´: 1093  |  »Ø¸´: 10

feixiaolin

ÈÙÓþ°æÖ÷ (ÎÄ̳¾«Ó¢)

ÓÅÐã°æÖ÷

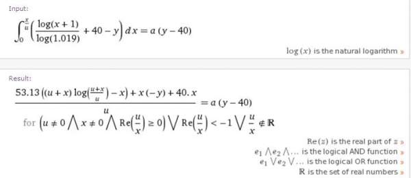
Mathematica ¸ø³öµÄ½á¹û£º
Çó½âÈçÏ·½³Ì£¬u aΪ³£Êý£¬Çë½Ì¸ßÊÖ~
44.JPG

11Â¥2013-11-07 07:21:31
ÒÑÔÄ   »Ø¸´´ËÂ¥   ¹Ø×¢TA ¸øTA·¢ÏûÏ¢ ËÍTAºì»¨ TAµÄ»ØÌû
Ïà¹Ø°æ¿éÌø×ª ÎÒÒª¶©ÔÄÂ¥Ö÷ jiaomx2006 µÄÖ÷Ìâ¸üÐÂ
×î¾ßÈËÆøÈÈÌûÍÆ¼ö [²é¿´È«²¿] ×÷Õß »Ø/¿´ ×îºó·¢±í
[¿¼ÑÐ] ²ÄÁÏÇóµ÷¼Á +11 Ò»ÑùYWY 2026-04-05 11/550 2026-04-05 23:36 by À´¿´Á÷ÐÇÓê10
[¿¼ÑÐ] 318Çóµ÷¼Á +11 ykyhsa 2026-04-05 13/650 2026-04-05 12:44 by aidndnjck
[¿¼ÑÐ] ÊýÒ»Ó¢Ò» 347 È˹¤ÖÇÄܹú½±ÂÛÎͼÓÐÇóµ÷¼Á +3 ÎÚÀ­¶ùɽÂö 2026-03-30 7/350 2026-04-05 10:32 by zhq0425
[¿¼ÑÐ] Ò»Ö¾Ô¸½­ÄÏ´óѧ085501»úе¹¤³Ìר˶326·Ö£¬±¾¿Æ¼Ñľ˹´óѧ +5 ¹ËÈô¸¡Éú 2026-04-03 9/450 2026-04-05 09:57 by 1753564080
[¿¼ÑÐ] µ÷¼ÁÇóÖú +10 Ïë»»ÊÖ»ú²»Ïë½âÊ 2026-04-02 13/650 2026-04-05 09:41 by sam3303
[¿¼ÑÐ] 323Çóµ÷¼Á +8 Àî¼ÑÀÖ1 2026-04-04 8/400 2026-04-04 22:26 by hemengdong
[¿¼ÑÐ] ²ÄÁÏ¿ÆÑ§Ó빤³Ìµ÷¼Á +19 ÉîVËÞÉá°É 2026-03-30 20/1000 2026-04-04 22:13 by hemengdong
[¿¼ÑÐ] 085400µç×ÓÐÅÏ¢319Çóµ÷¼Á£¨½ÓÊÜ¿çרҵµ÷¼Á£© +5 ÐÇÐDz»Õ£ÑÛà¶ 2026-04-03 6/300 2026-04-04 21:50 by hemengdong
[¿¼ÑÐ] 325Çóµ÷¼Á +4 ´º·ç²»½èÒâ 2026-04-04 4/200 2026-04-04 14:46 by ÏæÅ©´¢ÄܲÄÁÏ
[¿¼ÑÐ] 266Çóµ÷¼Á +18 ÑôÑôÍÛÈû 2026-04-01 18/900 2026-04-03 18:38 by zllcz
[¿¼ÑÐ] 321Çóµ÷¼Á +17 y-yh 2026-04-01 20/1000 2026-04-03 12:57 by y-yh
[¿¼ÑÐ] 303Çóµ÷¼Á +3 һɫÇåÓð 2026-04-02 4/200 2026-04-03 10:22 by À¶ÔÆË¼Óê
[¿¼ÑÐ] ¸´ÊÔµ÷¼Á +3 bvzz 2026-04-01 3/150 2026-04-03 09:47 by À¶ÔÆË¼Óê
[¿¼ÑÐ] Ò»Ö¾Ô¸ÏÃÃÅ´óѧ²ÄÁϹ¤³Ìר˶354ÕÒµ÷¼Á£¡£¡£¡ +8 ±´ß±µ±µ 2026-03-30 8/400 2026-04-03 09:41 by hypershenger
[¿¼ÑÐ] 285Çóµ÷¼Á +8 AZMK 2026-04-02 11/550 2026-04-02 20:16 by yulian1987
[¿¼ÑÐ] 346Çóµ÷¼Á +5 Ö£³ÏÀÖ 2026-04-02 5/250 2026-04-02 16:38 by SZW_UJN
[¿¼ÑÐ] 275ѧ˶081000·þ´Óµ÷¼Áµ½ÆäËûרҵ£¬±£²»×¡±¾×¨ÒµÁË +7 һֻССˮţ 2026-04-02 8/400 2026-04-02 14:23 by alice-2022
[¿¼ÑÐ] 314Çóµ÷¼Á +11 1xiaojun23 2026-03-31 12/600 2026-04-02 12:31 by 1xiaojun23
[¿¼ÑÐ] 0710ÉúÎïѧ£¬325Çóµ÷¼Á +3 mkkkkkl 2026-04-01 3/150 2026-04-02 09:48 by Jaylen.
[¿¼ÑÐ] 262Çóµ÷¼Á +7 ZZ..000 2026-03-30 8/400 2026-03-31 10:05 by cal0306
ÐÅÏ¢Ìáʾ
ÇëÌî´¦ÀíÒâ¼û