版块导航
正在加载中...
客户端APP下载
登录
注册
帖子
帖子
用户
本版
应《网络安全法》要求,自2017年10月1日起,未进行实名认证将不得使用互联网跟帖服务。为保障您的帐号能够正常使用,请尽快对帐号进行手机号验证,感谢您的理解与支持!
24小时热门版块排行榜
>
论坛更新日志
(3447)
>
虫友互识
(380)
>
文献求助
(359)
>
导师招生
(296)
>
基金申请
(248)
>
考博
(200)
>
休闲灌水
(97)
>
硕博家园
(85)
>
招聘信息布告栏
(80)
>
博后之家
(65)
>
论文投稿
(62)
>
绿色求助(高悬赏)
(37)
>
攻关文献(高奖励)
(34)
>
海归之家
(32)
>
SciFinder/Reaxys
(26)
>
找工作
(24)
小木虫论坛-学术科研互动平台
»
专业学科区
»
数学
»
基础数学
»
有关级数的问题
2
1/1
返回列表
查看: 511 | 回复: 1
只看楼主
@他人
存档
新回复提醒
(忽略)
收藏
在APP中查看
zhouxmq
金虫
(小有名气)
应助: 0
(幼儿园)
金币: 741.6
散金: 188
帖子: 212
在线: 108.3小时
虫号: 2667056
注册: 2013-09-17
性别: GG
专业: 光学
[
求助
]
有关级数的问题
求证
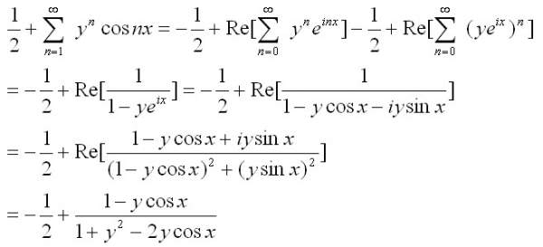
1/2+∑_(n=1)^(+∞)▒〖y^n cosnx 〗=(1-y^2)/(1+y^2-2xy)
如果看不清图片里有公式
数学小木虫.png
回复此楼
» 猜你喜欢
导师各种操作恶心咋办
已经有13人回复
本人最近太闲了,谁有问题可以提,每天会统一回复
已经有12人回复
重磅!青年科学基金项目(C类)资助增幅预计超过50%
已经有4人回复
青C资助名额大幅增加!
已经有10人回复
护理论文 晋升
已经有5人回复
求助大佬sci投稿哪个好中
已经有4人回复
评审感受-评审感受-评审感受
已经有14人回复
这年头没有找到涵评专家,还有中面上的可能吗
已经有6人回复
2026博士申请求助
已经有10人回复
西南大学考核制博士
已经有6人回复
» 本主题相关价值贴推荐,对您同样有帮助:
关于周期信号的收敛性的问题
已经有4人回复
求助一个matlab关于分类讨论的问题
已经有9人回复
数学分析老师课上提出的问题(关于级数收敛与发散)
已经有8人回复
matlab 问题求助,一段程序出错,求纠错
已经有7人回复
【求助】有两题函数题目不会解,请各路英雄帮忙一下。
已经有4人回复
关于拉科酰胺手性纯度100%的问题
已经有15人回复
有关陪读的问题。
已经有11人回复
关于原生质体制备的问题
已经有24人回复
求解反应级数的问题
已经有8人回复
BET使用中的有关问题
已经有17人回复
毕设,数学相关专业,求指导!
已经有18人回复
求助使用MATLAB计算绿色叶片的覆盖度的问题
已经有24人回复
求助:西格玛求和公式推导问题
已经有19人回复
【专题】有关PVP各种问题的专题讨论
已经有16人回复
关于博士点基金级别问题的答案
已经有11人回复
【求助】关于共形映射的问题,不甚感激!
已经有12人回复
【求助】反应级数问题
已经有8人回复
【求助】一道关于级数收敛的数学竞赛题
已经有4人回复
请教EMSA的有关问题
已经有9人回复
1楼
2013-10-09 17:18:09
已阅
回复此楼
关注TA
给TA发消息
送TA红花
TA的回帖
feixiaolin
荣誉版主
(文坛精英)
专家经验: +518
应助: 942
(博后)
贵宾: 1.275
金币: 3880
散金: 58785
红花: 532
沙发: 11
帖子: 24215
在线: 2601.8小时
虫号: 2139575
注册: 2012-11-21
专业: 光学信息获取与处理
管辖:
数学
【答案】应助回帖
★ ★ ★ ★ ★
感谢参与,应助指数 +1
zhouxmq: 金币+5,
★★★
很有帮助
2013-10-10 01:41:58
作为方程可以,作为等式不成立
formula.jpg
赞
一下
回复此楼
2楼
2013-10-09 21:15:51
已阅
回复此楼
关注TA
给TA发消息
送TA红花
TA的回帖
相关版块跳转
数理科学综合
机械
物理
数学
农林
食品
地学
能源
信息科学
土木建筑
航空航天
转基因
我要订阅楼主
zhouxmq
的主题更新
2
1/1
返回列表
如果回帖内容含有宣传信息,请如实选中。否则帐号将被全论坛禁言
普通表情
龙
兔
虎
猫
百度网盘
|
360云盘
|
千易网盘
|
华为网盘
在新窗口页面中打开自己喜欢的网盘网站,将文件上传后,然后将下载链接复制到帖子内容中就可以了。
信息提示
关闭
请填处理意见
关闭
确定