版块导航
正在加载中...
客户端APP下载
论文辅导
申博辅导
登录
注册
帖子
帖子
用户
本版
应《网络安全法》要求,自2017年10月1日起,未进行实名认证将不得使用互联网跟帖服务。为保障您的帐号能够正常使用,请尽快对帐号进行手机号验证,感谢您的理解与支持!
24小时热门版块排行榜
>
论坛更新日志
(604)
>
虫友互识
(44)
>
导师招生
(17)
>
论文道贺祈福
(13)
>
休闲灌水
(9)
>
硕博家园
(6)
>
博后之家
(5)
>
基金申请
(5)
>
考博
(5)
>
招聘信息布告栏
(4)
>
教师之家
(3)
>
考研
(3)
>
论文投稿
(3)
>
文献求助
(2)
>
生物科学
(2)
>
公派出国
(2)
小木虫论坛-学术科研互动平台
»
专业学科区
»
数学
»
基础数学
»
求助一个定积分(文献,推导过程)
3
1/1
返回列表
查看: 1099 | 回复: 2
只看楼主
@他人
存档
新回复提醒
(忽略)
收藏
在APP中查看
CASC_CHEN
木虫
(正式写手)
应助: 7
(幼儿园)
金币: 4091.4
散金: 687
红花: 7
帖子: 848
在线: 374.1小时
虫号: 2553172
注册: 2013-07-19
性别: GG
专业: 计算机体系结构
[
求助
]
求助一个定积分(文献,推导过程)
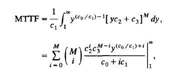
最近看文献,遇到如图所示的问题;
本人高数实在太差,查了一些资料,还是无法得出下面的推到过程,请各位大神提示。
感激不尽!!
6AW(}GVCK)~P_T5GLSBIQ4G.jpg
回复此楼
» 猜你喜欢
有时候真觉得大城市人没有县城人甚至个体户幸福
已经有9人回复
CSC & MSCA 博洛尼亚大学能源材料课题组博士/博士后招生|MSCA经费充足、排名优
已经有6人回复
天津大学招2026.09的博士生,欢迎大家推荐交流(博导是本人)
已经有4人回复
同年申请2项不同项目,第1个项目里不写第2个项目的信息,可以吗
已经有3人回复
退学或坚持读
已经有28人回复
面上项目申报
已经有3人回复
酰胺脱乙酰基
已经有9人回复
博士延得我,科研能力直往上蹿
已经有7人回复
面上基金申报没有其他的参与者成吗
已经有5人回复
遇见不省心的家人很难过
已经有22人回复
» 本主题相关价值贴推荐,对您同样有帮助:
新手matlab求助,谢谢各位
已经有10人回复
一个绝对值求积分问题
已经有8人回复
求助积分求导的问题,如何从第一步推导第二步?
已经有8人回复
请教一个积分用留数定理计算的问题
已经有15人回复
求助!!!我想要在fluent中针对一个面进行积分,那么UDF应该用什么宏函数?怎么用?
已经有5人回复
用matlab求一个积分。我求不出来啊
已经有3人回复
怎么下载一篇道客巴巴的文章,要100积分的?求助?!!!!
已经有6人回复
求助关于matlab求对数积分的问题
已经有3人回复
matlab 积分求助
已经有8人回复
mathematica请教计算结果问题
已经有4人回复
求助定积分 ∫e^(-x^2)dx
已经有8人回复
计算一道不定积分
已经有11人回复
【求助】请教一个定积分的题
已经有3人回复
【求助】matlab求解一个简单的积分(急!!!)
已经有7人回复
【求助】数学积分
已经有29人回复
【求助】如何解一个含定积分的方程组
已经有9人回复
【求助】请教1个定积分,如何计算,重金酬谢!!!
已经有19人回复
【求助】如何在Word里输入一个好看的积分符号?
已经有24人回复
【求助】请教高手关于核磁谱中积分的一个问题
已经有10人回复
【求助】一个二重积分问题【已解决】
已经有17人回复
【求助】一个定积分问题
已经有14人回复
1楼
2013-10-02 12:43:54
已阅
回复此楼
关注TA
给TA发消息
送TA红花
TA的回帖
hank612
至尊木虫
(著名写手)
数学EPI: 14
应助: 225
(大学生)
金币: 14270.6
散金: 1055
红花: 95
帖子: 1526
在线: 1375.8小时
虫号: 2530333
注册: 2013-07-03
性别: GG
专业: 理论和计算化学
★ ★ ★ ★ ★ ★ ★ ★ ★ ★ ★ ★ ★ ★ ★ ★ ★ ★ ★ ★
CASC_CHEN(nono2009代发): 金币+20
2013-10-02 15:56:50
这个题目如果利用牛顿二项式,就是显然的。
(y*c2+c3)^M = SUM_{i=0}^M c2^i* y^i * c3^{M-i}.
然后 逐项对y的不同次方积分就得到了。
很基本的题目,金币就不用了。
赞
一下
(1人)
回复此楼
We_must_know. We_will_know.
2楼
2013-10-02 13:03:27
已阅
回复此楼
关注TA
给TA发消息
送TA红花
TA的回帖
CASC_CHEN
木虫
(正式写手)
应助: 7
(幼儿园)
金币: 4091.4
散金: 687
红花: 7
帖子: 848
在线: 374.1小时
虫号: 2553172
注册: 2013-07-19
性别: GG
专业: 计算机体系结构
引用回帖:
2楼
:
Originally posted by
hank612
at 2013-10-02 13:03:27
这个题目如果利用牛顿二项式,就是显然的。
(y*c2+c3)^M = SUM_{i=0}^M c2^i* y^i * c3^{M-i}.
然后 逐项对y的不同次方积分就得到了。
很基本的题目,金币就不用了。
谢谢啦,虽然看不太懂你写的,但是查了一下牛顿二项式,就明白了。工科出身,数学都仍了,谢谢您!!金币我不会手动送,已经通知版主处理,还是给您吧,多谢!
赞
一下
回复此楼
3楼
2013-10-02 13:21:39
已阅
回复此楼
关注TA
给TA发消息
送TA红花
TA的回帖
相关版块跳转
数理科学综合
机械
物理
数学
农林
食品
地学
能源
信息科学
土木建筑
航空航天
转基因
我要订阅楼主
CASC_CHEN
的主题更新
3
1/1
返回列表
如果回帖内容含有宣传信息,请如实选中。否则帐号将被全论坛禁言
普通表情
龙
兔
虎
猫
百度网盘
|
360云盘
|
千易网盘
|
华为网盘
在新窗口页面中打开自己喜欢的网盘网站,将文件上传后,然后将下载链接复制到帖子内容中就可以了。
信息提示
关闭
请填处理意见
关闭
确定