| 查看: 600 | 回复: 2 | |||
oldskin铁杆木虫 (职业作家)
|
[求助]
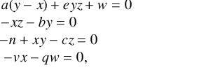
求助大家解一个方程组的实根。。。。。。。。。。。。。。。。
|
||
![]() |
|||
|
|
|||
feixiaolin荣誉版主 (文坛精英)
|
【答案】应助回帖
★ ★ ★ ★
感谢参与,应助指数 +1 oldskin: 金币+2, 谢谢 我要更具体的解的情况! 对参数的讨论 2013-09-17 16:57:40 oldskin: 金币+1, 还要讨论参数是否为0!并在不同的情况得出具体的解 2013-09-17 17:04:08 oldskin: 金币+1, 特别考虑你的分数是否是否为0 还有是否可以乘以或者除以! 2013-09-17 17:09:07 » 本帖附件资源列表
2013-09-17 16:43:43, 33.18 K
|
||
|
2楼2013-09-17 16:44:17
|
|
||
feixiaolin荣誉版主 (文坛精英)
|
|||
|
3楼2013-09-17 17:03:20
|
|














回复此楼
