版块导航
正在加载中...
客户端APP下载
论文辅导
申博辅导
登录
注册
帖子
帖子
用户
本版
应《网络安全法》要求,自2017年10月1日起,未进行实名认证将不得使用互联网跟帖服务。为保障您的帐号能够正常使用,请尽快对帐号进行手机号验证,感谢您的理解与支持!
24小时热门版块排行榜
>
论坛更新日志
(4305)
>
虫友互识
(503)
>
文献求助
(409)
>
导师招生
(349)
>
硕博家园
(224)
>
博后之家
(213)
>
休闲灌水
(146)
>
论文投稿
(143)
>
考博
(138)
>
基金申请
(132)
>
招聘信息布告栏
(97)
>
教师之家
(90)
>
找工作
(85)
>
公派出国
(69)
>
论文道贺祈福
(58)
>
绿色求助(高悬赏)
(42)
小木虫论坛-学术科研互动平台
»
专业学科区
»
机械
»
机械综合
»
非线性方程求解!望各位大侠帮助一下!具体一点
3
1/1
返回列表
查看: 579 | 回复: 2
只看楼主
@他人
存档
新回复提醒
(忽略)
收藏
在APP中查看
yijiananmei
新虫
(初入文坛)
应助: 0
(幼儿园)
金币: 3
散金: 20
帖子: 15
在线: 7小时
虫号: 2062080
注册: 2012-10-15
性别: GG
专业: 机构学与机器人
[
求助
]
非线性方程求解!望各位大侠帮助一下!具体一点
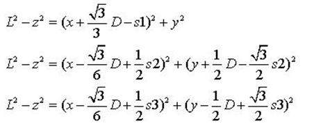
求解非线性方程组。过程详细一点,谢谢各位了。如果有高手提供简单一点的非线性方程组的一般解法,那更加感激不尽。
非线性方程解.jpg
回复此楼
» 猜你喜欢
【26年入学】计算机视觉/电子信息/诚招博士生 光电教育部重点实验室
已经有0人回复
请问有没有不用做仿真就可可发表的机械中文核心期刊?
已经有4人回复
金属材料论文润色/翻译怎么收费?
已经有264人回复
【26年入学】计算机视觉/电子信息/诚招博士生 光电教育部重点实验室
已经有2人回复
【26年入学】红外半导体/电子信息/嵌入式视觉/诚招博士生 光电教育部重点实验室
已经有0人回复
CSC难上岸,25年东京大学,早稻田,京都大学多Lab大量招募日本全奖博士生!
已经有5人回复
中国地质大学(北京)工程技术学院薛启龙课题组招收2026年博士生
已经有3人回复
解决渗碳体倾斜角度问题
已经有0人回复
招收硕,博士,博士后及联培:设备状态监测, 可靠性与维护,人工智能,图像处理
已经有0人回复
【26年入学】红外半导体/电子信息/嵌入式视觉/诚招博士生 光电教育部重点实验室
已经有0人回复
读博入学申请
已经有0人回复
» 本主题相关价值贴推荐,对您同样有帮助:
用matlab求解非线性方程组说无解,一定是方程组本身无解,还是有可能程序有问题呢?
已经有11人回复
matlab 求解非线性方程 解出虚数解
已经有7人回复
拟牛顿法求解复杂(带根号的)非线性方程组
已经有17人回复
使用fsolve求解非线性方程问题
已经有9人回复
matlab求解非线性方程组,错误提示怎么解决
已经有5人回复
急切求助!一个mathematica求解一个简单一元非线性方程的问题
已经有4人回复
1stopt或matlab如何求解以下的非线性方程并拟合出相应曲线?
已经有13人回复
matlab求解非线性方程组,求助!
已经有6人回复
求助!matlab用fsolve函数求解非线性方程组的问题!
已经有19人回复
如何使用matlab求解非线性方程组的所有整数解?
已经有9人回复
matlab求解非线性方程组
已经有16人回复
求高人指点用matlab求解非线性方程组,解决了追加100金币;
已经有11人回复
matlab的fsove 命令求解非线性方程组
已经有6人回复
MATLAB非线性方程组求解~~~反应釜模拟
已经有9人回复
【求助】向各位大侠求助matlab求解微分方程组遇到的一个问题
已经有21人回复
【求助】用mathematica 5.0求解一个非线性方程组失败,特发帖求助!
已经有5人回复
【求助】matlab求解非线性方程组,并画图处理。要求y,z是实数解!
已经有18人回复
【求助】非线性方程组求解
已经有3人回复
【求助】求解非线性方程
已经有8人回复
朝霞伴随着康德而升起,自由贯穿哲学之始终。
1楼
2013-07-07 11:01:44
已阅
回复此楼
关注TA
给TA发消息
送TA红花
TA的回帖
aspen_yang
银虫
(小有名气)
应助: 17
(小学生)
金币: 160.1
红花: 1
帖子: 107
在线: 33.4小时
虫号: 1774750
注册: 2012-04-24
性别: GG
专业: 传动机械学
【答案】应助回帖
感谢参与,应助指数 +1
数值运算吧,建议自信查阅相关非线形方程解法,直接用方程编个程序求数值解吧。
赞
一下
回复此楼
2楼
2013-07-08 14:29:04
已阅
回复此楼
关注TA
给TA发消息
送TA红花
TA的回帖
peterflyer
木虫之王
(文学泰斗)
peterflyer
机械EPI: 4
应助: 20282
(院士)
金币: 145849
红花: 1374
帖子: 93084
在线: 7693.9小时
虫号: 1482829
注册: 2011-11-08
性别: GG
专业: 功能陶瓷
【答案】应助回帖
求解析解好像不太现实,看来只有用数值法求数值解了。可以用Newton-Raphson法迭代求解。具体方法就是:先给出此非线性方程组的一个解的初值,再给出一个扰动或步长,重新代入将非线性方程组在此处按多元泰勒公式线性展开,在按照最优化方法求出步长,再将步长加到原初值上,反复迭代,直至优化出的步长的模数小于某个预定的小数,标志迭代收敛并结束。
赞
一下
回复此楼
3楼
2013-08-28 21:31:08
已阅
回复此楼
关注TA
给TA发消息
送TA红花
TA的回帖
相关版块跳转
数理科学综合
机械
物理
数学
农林
食品
地学
能源
信息科学
土木建筑
航空航天
转基因
我要订阅楼主
yijiananmei
的主题更新
3
1/1
返回列表
如果回帖内容含有宣传信息,请如实选中。否则帐号将被全论坛禁言
普通表情
龙
兔
虎
猫
百度网盘
|
360云盘
|
千易网盘
|
华为网盘
在新窗口页面中打开自己喜欢的网盘网站,将文件上传后,然后将下载链接复制到帖子内容中就可以了。
信息提示
关闭
请填处理意见
关闭
确定