±±¾©Ê¯ÓÍ»¯¹¤Ñ§Ôº2026ÄêÑо¿ÉúÕÐÉú½ÓÊÕµ÷¼Á¹«¸æ
²é¿´: 487  |  »Ø¸´: 2

¸ó¸óÎèÀÖ

ľ³æ (ÕýʽдÊÖ)

[ÇóÖú] Çó¸ßÊÖ N-trimellitylimido-L-isoleucine Ôõô·­Ò룿

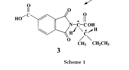
N-trimellitylimido-L-isoleucine Ôõô·­Ò룿¼±
»Ø¸´´ËÂ¥

» ²ÂÄãϲ»¶

» ±¾Ö÷ÌâÏà¹Ø¼ÛÖµÌùÍÆ¼ö£¬¶ÔÄúͬÑùÓаïÖú:

Äê¾­¾Í¸ÃŬÁ¦£¡
ÒÑÔÄ   »Ø¸´´ËÂ¥   ¹Ø×¢TA ¸øTA·¢ÏûÏ¢ ËÍTAºì»¨ TAµÄ»ØÌû

w2liang

Ìú¸Ëľ³æ (ÕýʽдÊÖ)

ÖмäÄǸömellitylimido²»ºÃ·­Òë¡£¡£¡£¾Í°´Õâ¸öͼÃüÃû°É¡£¡£¡£mido(ÉúÎïҽѧ·­Òë½Ðʲô¡°Ã׶ࡱ)

Capture.JPG

leaves2wind
2Â¥2013-05-08 22:43:14
ÒÑÔÄ   »Ø¸´´ËÂ¥   ¹Ø×¢TA ¸øTA·¢ÏûÏ¢ ËÍTAºì»¨ TAµÄ»ØÌû

óÆÑ§Ã÷Ö¾

ÖÁ×ðľ³æ (ÖªÃû×÷¼Ò)

¡¾´ð°¸¡¿Ó¦Öú»ØÌû

¡ï ¡ï ¡ï ¡ï ¡ï
¸Ðл²ÎÓ룬ӦÖúÖ¸Êý +1
¸ó¸óÎèÀÖ: ½ð±Ò+5, ¡ï¡ï¡ï¡ï¡ï×î¼Ñ´ð°¸ 2013-05-13 13:47:34
N-Æ«±½Èý¼×õ£Ñǰ·-L-ÒìÁÁ°±Ëá
Ò»ÈÕºìºÚ£¬ÖÕÉúºìºÚ£¡
3Â¥2013-05-10 04:07:20
ÒÑÔÄ   »Ø¸´´ËÂ¥   ¹Ø×¢TA ¸øTA·¢ÏûÏ¢ ËÍTAºì»¨ TAµÄ»ØÌû
Ïà¹Ø°æ¿éÌø×ª ÎÒÒª¶©ÔÄÂ¥Ö÷ ¸ó¸óÎèÀÖ µÄÖ÷Ìâ¸üÐÂ
×î¾ßÈËÆøÈÈÌûÍÆ¼ö [²é¿´È«²¿] ×÷Õß »Ø/¿´ ×îºó·¢±í
[¿¼ÑÐ] 319Çóµ÷¼Á +11 Ì«ÈÝÒ×1018 2026-04-01 11/550 2026-04-02 10:32 by ²»³Ôô~µÄ؈
[¿¼ÑÐ] 279Çóµ÷¼Á +6 ѧ¶øË¼ÙâÖª 2026-04-01 6/300 2026-04-02 09:16 by vgtyfty
[¿¼ÑÐ] Ò»Ö¾Ô¸°²»Õ´óѧ¼ÆËã»ú¿ÆÑ§Óë¼¼Êõѧ˶£¬331·ÖÇóµ÷¼Á +5 ½¯²ýÅôqtj 2026-04-01 5/250 2026-04-02 08:10 by fxue1114
[¿¼ÑÐ] Ò»Ö¾Ô¸±±¾©¿Æ¼¼´óѧ085601²ÄÁϹ¤³ÌÓ¢Ò»Êý¶þ³õÊÔ×Ü·Ö335Çóµ÷¼Á +7 Ë«ÂíβƦÀϰå2 2026-04-01 7/350 2026-04-02 06:08 by 286640313
[¿¼ÑÐ] Ò»Ö¾Ô¸ÉϺ£º£Ñó´óѧ083200ʳƷѧ˶£¬Çóµ÷¼Á£¬½ÓÊÜÆäËûרҵ +5 whatÕÅ 2026-04-01 5/250 2026-04-01 22:35 by guanxin1001
[¿¼ÑÐ] 0856£¬269·ÖÇóµ÷¼Á +8 ÓÐѧÉϾÍÐÐÇóÇóÁ 2026-03-30 11/550 2026-04-01 22:33 by 2026²ÄÁϵ÷¼Á
[¿¼ÑÐ] ½­ËտƼ¼´óѧÕвÄÁÏÑо¿Éú +4 Su032713. 2026-04-01 5/250 2026-04-01 22:03 by cccchenso
[¿¼ÑÐ] ÉúÎïÓëÒ½Ò©¿¼Ñе÷¼Á +5 Ìúº©º©123425 2026-03-31 5/250 2026-04-01 18:01 by syh9288
[¿¼ÑÐ] 0710ÉúÎïѧ¿¼Ñе÷¼Á +3 Àî¶àÃ×lee. 2026-03-27 4/200 2026-04-01 16:21 by zzchen2000
[˶²©¼ÒÔ°] ¿¼Ñе÷¼Á +5 ÂæÍÕÄÐÈË 2026-04-01 5/250 2026-04-01 14:28 by syjjj0321
[¿¼ÑÐ] ²ÄÁϵ÷¼Á +10 Eujd1 2026-03-31 11/550 2026-04-01 11:23 by ivanqyq
[¿¼ÑÐ] 085410È˹¤ÖÇÄÜ ³õÊÔ316·Ö Çóµ÷¼Á +3 ²ÐÐÇ·÷Êï 2026-03-31 3/150 2026-04-01 11:09 by СÐÜraider
[¿¼ÑÐ] 0710ÉúÎïѧÇóµ÷¼Á£¡ +6 ÐðÊöÎÄ 2026-03-31 6/300 2026-04-01 09:39 by JourneyLucky
[¿¼ÑÐ] Çóµ÷¼Á +7 Çà´º²ÃΪÈý½Ø 2026-03-29 7/350 2026-03-30 13:14 by laoshidan
[¿¼ÑÐ] 283Çóµ÷¼Á£¨080500£© +14 A child 2026-03-27 14/700 2026-03-30 12:06 by ̽123
[¿¼ÑÐ] 298Çóµ÷¼Á +4 ÖÖÊ¥´Í 2026-03-28 4/200 2026-03-29 08:42 by q1092522407
[¿¼ÑÐ] ±¾¿ÆË«·Ç²ÄÁÏ£¬¿ç¿¼Ò»Ö¾Ô¸»ªµç085801µçÆø£¬283Çóµ÷¼Á£¬ÈκÎרҵ¶¼¿ÉÒÔ +6 ֥ʿѩbaoo 2026-03-28 8/400 2026-03-29 08:16 by ËÉ»¨¸×1201
[¿¼ÑÐ] ±¾¿ÆÐÂÄÜÔ´¿ÆÑ§Ó빤³Ì£¬Ò»Ö¾Ô¸»ªÀíÄܶ¯285Çóµ÷¼Á +3 AZMK 2026-03-27 5/250 2026-03-28 16:19 by xxxsssccc
[¿¼ÑÐ] ҩѧ105500Çóµ÷¼Á +3 Ssun¡£¡£ 2026-03-28 3/150 2026-03-28 11:24 by lxf170613
[¿¼ÑÐ] 265Çóµ÷¼Á11408 +3 ÁõС¹lu 2026-03-27 3/150 2026-03-27 20:53 by nihaoar
ÐÅÏ¢Ìáʾ
ÇëÌî´¦ÀíÒâ¼û