| 查看: 337 | 回复: 1 | ||
| 本帖产生 1 个 博学EPI ,点击这里进行查看 | ||
jianglinkun木虫 (小有名气)
|
[求助]
求助一个用在matlab中参数拟合的问题(方程拟合程序)。
|
|
|
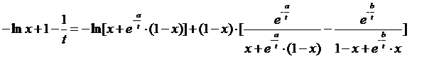
求助一个用在matlab中参数拟合的问题(方程拟合)。 有这样的一个方程: 见附件中。 t是自变量,x是变量,a和b是所求拟合参数。 想求助一个对这个方程的拟合程序或方法。 太感谢了。 拜托拜托。 拟合方程.png |
» 猜你喜欢
081700,311,求调剂
已经有15人回复
一志愿北京化工085600 310分求调剂
已经有18人回复
085600材料与化工301分求调剂院校
已经有4人回复
材料与化工371求调剂
已经有14人回复
336材料与化工085600求调剂
已经有7人回复
材料334求调剂
已经有18人回复
331求调剂
已经有8人回复
332求调剂
已经有17人回复
一志愿南京航空航天大学 材料与化工329分求调剂
已经有4人回复
材料专硕322
已经有7人回复
» 本主题相关价值贴推荐,对您同样有帮助:
MATLAB中ANN拟合误差柱状图
已经有9人回复
用spss拟合生长曲线(非线性回归)其中参数初始值怎么确定?
已经有10人回复
使用DSLF拟合吸附等溫線時,怎麼樣才能讓得到的參數為identifiable(參數估計值唯一)
已经有17人回复
非线性数据拟合的数学原理!!!!!????
已经有30人回复
求助拟合参数的置信区间问题
已经有6人回复
动力学参数拟合
已经有26人回复
origin8.0拟合方程中参数怎么求
已经有5人回复
有关NICA-Donnan 模型拟合 金属Cu离子与腐殖质作用的吸附曲线及其相关参数的方法
已经有7人回复
matlab微分方程组参数拟合,以周为单位求解,汇总后以年为单位进行数值比较
已经有4人回复
请教关于非参数假设检验的拟合优度卡方检验法的问题!
已经有10人回复
在matlab中拟合曲面的表达式
已经有29人回复
matlab非线性参数拟合问题
已经有7人回复
求助,origin7.5 中的非线性拟合参数为什么一直在变,而且误差很大!!!
已经有4人回复
采用matlab中nlinfit拟合,出现问题了,不知道是哪错了,该怎么解决,求高手指点一下
已经有9人回复
求助:origin8.0 自定义非线性拟合,参数拟合值与设定初始值一样
已经有18人回复
求助svm在matlab中的应用
已经有7人回复
【求助】非线性参数的拟合方法或者拟合软件?(分母、指数和对数)
已经有3人回复
【求助】使用MATLAB怎么实现拟合力场参数的程序?【已解决】
已经有15人回复
【求助】如何由透射光谱拟合得到参数
已经有17人回复
【求助】最小二乘法求参数
已经有6人回复

【答案】应助回帖
★ ★ ★ ★ ★ ★ ★ ★ ★ ★ ★ ★ ★ ★ ★ ★ ★ ★ ★ ★ ★ ★ ★ ★ ★ ★ ★ ★ ★ ★
liusir3836: 金币+10, 由于楼主一直未给予奖励,由版主代发金币20枚! 2013-05-14 20:46:14
jianglinkun(liusir3836代发): 金币+20, 博学EPI+1, 由于楼主一直未给予奖励,由版主代发金币20枚! 2013-05-14 20:47:11
liusir3836: 金币+10, 由于楼主一直未给予奖励,由版主代发金币20枚! 2013-05-14 20:46:14
jianglinkun(liusir3836代发): 金币+20, 博学EPI+1, 由于楼主一直未给予奖励,由版主代发金币20枚! 2013-05-14 20:47:11
|
方案: 假设有n组数据,构造能量函数 其中f与g分别为你的方程的左右两边。令 构造对应的动力学演化方程或叫最速下降法 其初始条件 自己猜一个数即可。不断演化上述动力学直到F趋于0为止。 不行再换一个初态试。 |

2楼2013-04-07 16:28:15














回复此楼