版块导航
正在加载中...
客户端APP下载
论文辅导
申博辅导
登录
注册
帖子
帖子
用户
本版
应《网络安全法》要求,自2017年10月1日起,未进行实名认证将不得使用互联网跟帖服务。为保障您的帐号能够正常使用,请尽快对帐号进行手机号验证,感谢您的理解与支持!
24小时热门版块排行榜
>
论坛更新日志
(2818)
>
虫友互识
(183)
>
导师招生
(126)
>
文献求助
(102)
>
休闲灌水
(95)
>
博后之家
(82)
>
硕博家园
(81)
>
论文投稿
(74)
>
考博
(50)
>
基金申请
(43)
>
教师之家
(27)
>
公派出国
(26)
>
考研
(21)
>
招聘信息布告栏
(19)
>
找工作
(12)
>
论文道贺祈福
(11)
小木虫论坛-学术科研互动平台
»
计算模拟区
»
仿真模拟
»
MATLAB
»
【求助】100金币求助用matlab解2阶积分方程
6
1/1
返回列表
查看: 710 | 回复: 5
只看楼主
@他人
存档
新回复提醒
(忽略)
收藏
在APP中查看
dongfup8939
金虫
(小有名气)
应助: 3
(幼儿园)
金币: 735.9
红花: 1
帖子: 112
在线: 257.7小时
虫号: 773400
注册: 2009-05-18
性别: GG
[
求助
]
【求助】100金币求助用matlab解2阶积分方程
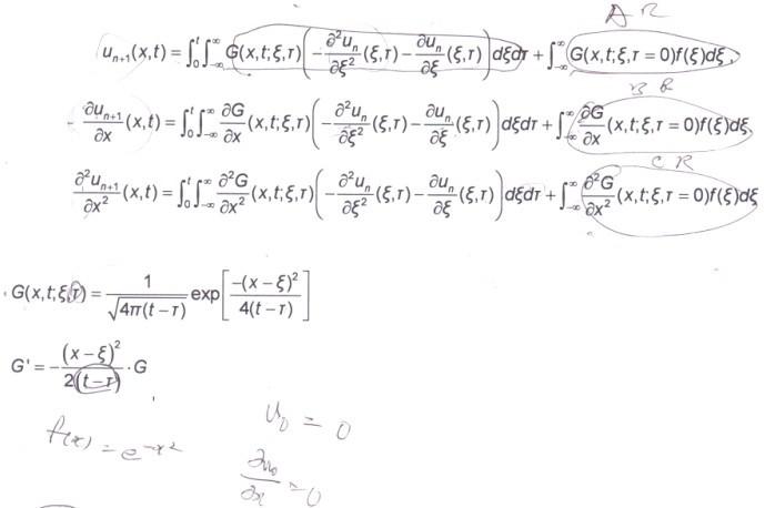
用matlab解下列积分方程,但是看了好长时间也没有头绪,请大家帮忙看看,能不能教一下~!谢谢大家的相助!
[
Last edited by dongfup8939 on 2013-1-28 at 20:56
]
回复此楼
» 本帖已获得的红花(最新10朵)
dongfup8939
» 猜你喜欢
到新单位后,换了新的研究方向,没有团队,持续积累2区以上论文,能申请到面上吗
已经有6人回复
2025冷门绝学什么时候出结果
已经有7人回复
请问有评职称,把科研教学业绩算分排序的高校吗
已经有6人回复
Bioresource Technology期刊,第一次返修的时候被退回好几次了
已经有7人回复
真诚求助:手里的省社科项目结项要求主持人一篇中文核心,有什么渠道能发核心吗
已经有8人回复
寻求一种能扛住强氧化性腐蚀性的容器密封件
已经有5人回复
请问哪里可以有青B申请的本子可以借鉴一下。
已经有4人回复
请问下大家为什么这个铃木偶联几乎不反应呢
已经有5人回复
天津工业大学郑柳春团队欢迎化学化工、高分子化学或有机合成方向的博士生和硕士生加入
已经有4人回复
康复大学泰山学者周祺惠团队招收博士研究生
已经有6人回复
» 本主题相关价值贴推荐,对您同样有帮助:
Matlab求解二阶偏微分方程组,希望能给出相应的求解代码
已经有10人回复
有限差分离散二阶偏微分方程后如何编译matlab程序解方程组?
已经有3人回复
求助:如何用MATLAB的偏微分方程工具箱画出不同区域内的温度分布图?
已经有5人回复
求助 一阶线性偏微分方程 拉格朗日法求解
已经有6人回复
Matlab求解偏微分方程组
已经有22人回复
偏微分方程数值解有基本理论和一些例子(化工类)MATLAB源程序
已经有296人回复
【求助】怎么计算二阶的偏微分方程
已经有7人回复
偏微分方程(PDEs)的MATLAB数值解法
已经有262人回复
【求助】请各位高手告诉我:这种想法能不能用matlab实现?200金币求助
已经有16人回复
【求助】MATLAB 有限差分法(FDM)求解偏微分方程
已经有22人回复
【求助】matlab怎么求解偏微分方程组啊,先谢谢了
已经有13人回复
【求助】用MATLAB求解偏微分方程的数值解 悬赏20
已经有8人回复
【求助】有限元法求解二阶偏微分方程组
已经有6人回复
【求助】求助用matlab解偏微分方程
已经有15人回复
【求助】偏微分方程的基本解
已经有5人回复
【求助】偏微分方程解法
已经有19人回复
1楼
2013-01-28 20:42:30
已阅
回复此楼
关注TA
给TA发消息
送TA红花
TA的回帖
Nonebull
木虫
(正式写手)
应助: 13
(小学生)
金币: 5663.1
红花: 6
帖子: 463
在线: 306.9小时
虫号: 571775
注册: 2008-06-10
专业: 化学工程及工业化学
你是要解析解?
回复此楼
2楼
2013-01-31 01:43:01
已阅
回复此楼
关注TA
给TA发消息
送TA红花
TA的回帖
dongfup8939
金虫
(小有名气)
应助: 3
(幼儿园)
金币: 735.9
红花: 1
帖子: 112
在线: 257.7小时
虫号: 773400
注册: 2009-05-18
性别: GG
引用回帖:
2楼
:
Originally posted by
Nonebull
at 2013-01-31 01:43:01
你是要解析解?
是的哈
回复此楼
3楼
2013-02-01 12:21:44
已阅
回复此楼
关注TA
给TA发消息
送TA红花
TA的回帖
dongfup8939
金虫
(小有名气)
应助: 3
(幼儿园)
金币: 735.9
红花: 1
帖子: 112
在线: 257.7小时
虫号: 773400
注册: 2009-05-18
性别: GG
送鲜花一朵
是的,可以求出来吗
赞
一下
回复此楼
4楼
2013-02-01 12:22:19
已阅
回复此楼
关注TA
给TA发消息
送TA红花
TA的回帖
dongfup8939
金虫
(小有名气)
引用回帖:
2楼
:
Originally posted by
Nonebull
at 2013-01-31 01:43:01
你是要解析解?
5楼
2013-02-01 12:24:23
已阅
回复此楼
关注TA
给TA发消息
送TA红花
TA的回帖
dongfup8939
金虫
(小有名气)
应助: 3
(幼儿园)
金币: 735.9
红花: 1
帖子: 112
在线: 257.7小时
虫号: 773400
注册: 2009-05-18
性别: GG
初步的code在这里下载,里面有些错误,请大虾协助:
http://good.gd/2418737.htm
赞
一下
回复此楼
6楼
2013-02-01 12:33:27
已阅
回复此楼
关注TA
给TA发消息
送TA红花
TA的回帖
相关版块跳转
第一性原理
量子化学
计算模拟
分子模拟
仿真模拟
程序语言
我要订阅楼主
dongfup8939
的主题更新
6
1/1
返回列表
如果回帖内容含有宣传信息,请如实选中。否则帐号将被全论坛禁言
普通表情
龙
兔
虎
猫
百度网盘
|
360云盘
|
千易网盘
|
华为网盘
在新窗口页面中打开自己喜欢的网盘网站,将文件上传后,然后将下载链接复制到帖子内容中就可以了。
信息提示
关闭
请填处理意见
关闭
确定