| ²é¿´: 1969 | »Ø¸´: 11 | ||
zijikai½ð³æ (³õÈëÎÄ̳)
|
[ÇóÖú]
΢·Ö·½³Ì×é²ÎÊýÄâºÏµÄÎÊÌâ
|
|
|
×î½üÓöµ½¸ö·½³Ì×飬²»ÖªµÀÔõôÓÃmatlab»òÕß1stoptÄâºÏÆäÖеIJÎÊý£¬ÇóÅ£ÈË¡£ ³õʼ²ÎÊý£ºx=0,N=N0,U=0,D=0,ÄâºÏÇó½âk0,k1,k2 ·½³Ì×éÈçÏÂ: dN/dx=k0*U-k1*N; dU/dx=k1*N-k0*U-2*k2*U*U; dD/dx=k2*U*U; N0=N+U+2*D; C=N/N0; Ô´Êý¾ÝÈçÏÂ: x C 0 100 3 76.70250896 6 59.31899642 9 49.76105137 12 44.44444444 15 43.01075269 18 41.99522103 21 41.09916368 27 39.4265233 33 38.35125448 39 36.91756272 45 34.10991637 51 33.63201912 60 32.31780167 Çó¸÷·´óÉñ°ïæÀ²£¬codeÒ²ÊÇÐèÒªµÄ¡£ [ Last edited by zijikai on 2013-1-21 at 21:17 ] |
» ²ÂÄãϲ»¶
£Ûµ÷¼ÁÐÅÏ¢£Ý211ÖÇÄÜÈ˹¤¸ÐÖª·½Ïò¹ú¼ÒÇàÄêÌØÆ¸×¨¼Ò¿ÎÌâ×éÕÐÊÕµ÷¼ÁÑо¿Éú
ÒѾÓÐ0È˻ظ´
[µ÷¼ÁÐÅÏ¢]211ÖÇÄÜÈ˹¤¸ÐÖª·½Ïò¹ú¼ÒÇàÄêÌØÆ¸×¨¼Ò¿ÎÌâ×éÕÐÊÕµ÷¼ÁÑо¿Éú
ÒѾÓÐ0È˻ظ´
ÎïÀíѧIÂÛÎÄÈóÉ«/·ÒëÔõôÊÕ·Ñ?
ÒѾÓÐ106È˻ظ´
0702Ò»Ö¾Ô¸¼ª´óBÇøÇóµ÷¼Á ±¾¿ÆÆÚ¼ä·¢±íһƪSci
ÒѾÓÐ2È˻ظ´
070200Çóµ÷¼Á£¬Ò»Ö¾Ô¸Ä³211£¬288·Ö
ÒѾÓÐ18È˻ظ´
·¨¹ú²©Ê¿ºóְλ
ÒѾÓÐ0È˻ظ´
ÖØÇì½»´ó26Äê˶ʿÉúÕÐÉúÄâµ÷¼Á֪ͨÒѳö£¡»¶Ó¼ÓÈë»úÆ÷ÊÓ¾õÓë3D¹âѧ³ÉÏñ¿ÎÌâ×é¡£
ÒѾÓÐ0È˻ظ´
¹ãÖÝ´óѧ¹âµçÐÅÏ¢¹¤³Ìרҵµ÷¼Á£¬ÕÐÊÕÎïÀíѧרҵѧÉú
ÒѾÓÐ1È˻ظ´
0702Ò»Ö¾Ô¸¼ª´óBÇøÇóµ÷¼Á ±¾¿ÆÆÚ¼ä·¢±íһƪSci
ÒѾÓÐ0È˻ظ´
» ±¾Ö÷ÌâÏà¹Ø¼ÛÖµÌùÍÆ¼ö£¬¶ÔÄúͬÑùÓаïÖú:
ÇëÎÊÕâ¸ö4½×µÄ·ÇÏßÐÔÆ«Î¢·Ö·½³Ì×éÔÚPDEÖÐÔõô½â£¿µÈ´ý¸ßÊÖ½â´ð¡£
ÒѾÓÐ17È˻ظ´
Çë½ÌmathematicÎÊÌ⣿¹ØÓÚ½â΢·Ö·½³Ì×éµÄºÍ»Í¼µÄһЩÎÊÌâ¡£
ÒѾÓÐ19È˻ظ´
΢·Ö·½³Ì×éµÄÎȶ¨ÐÔ·ÖÎö£¬¼±£¡
ÒѾÓÐ10È˻ظ´
¹ØÓÚ΢·Ö·½³Ì×éµÄÇó½â
ÒѾÓÐ4È˻ظ´
matlab΢·Ö·½³Ì×é²ÎÊýÄâºÏ£¬ÒÔÖÜΪµ¥Î»Çó½â£¬»ã×ܺóÒÔÄêΪµ¥Î»½øÐÐÊýÖµ±È½Ï
ÒѾÓÐ4È˻ظ´
matlabÄâºÏ·½³Ì²ÎÊýʱ³õÖµµÄÑ¡Ôñ
ÒѾÓÐ15È˻ظ´
MatlabÇó½âƫ΢·Ö·½³Ì×é
ÒѾÓÐ22È˻ظ´
ÇëÎÊÈçºÎÇó½â¶þÔªÒ»½×΢·Ö·½³Ì×é
ÒѾÓÐ24È˻ظ´
matlabÊýÖµÇó½â±ß½çÌõ¼þ΢·Ö·½³Ì×é
ÒѾÓÐ7È˻ظ´
¸ß½ðÇóÖúmatlab½â΢·Ö·½³Ì×é
ÒѾÓÐ12È˻ظ´
lsqnonlinº¯ÊýÄâºÏ΢·Ö·½³Ì×é²ÎÊýÄâºÏÎÊÌâ
ÒѾÓÐ10È˻ظ´
matlab½â΢·Ö·½³Ì×é
ÒѾÓÐ15È˻ظ´
¡¾ÇóÖú¡¿matlab Çó½â΢·Ö·½³ÌÖеÄδ֪²ÎÊý
ÒѾÓÐ20È˻ظ´
¡¾ÇóÖú¡¿Ïò¸÷λ´óÏÀÇóÖúmatlabÇó½â΢·Ö·½³Ì×éÓöµ½µÄÒ»¸öÎÊÌâ
ÒѾÓÐ21È˻ظ´
¡¾ÇóÖú¡¿Çë½Ì·ÇÆë´Î³£Î¢·Ö·½³Ì×éµÄ½âÎö½â·¨
ÒѾÓÐ4È˻ظ´
¡¾ÇóÖú¡¿Æ«Î¢·Ö·½³ÌºÍ³£Î¢·Ö·½³Ì×é³ÉµÄ·½³Ì×éÔõôÇ󣬴ó¼Ò°ï°ïæ°¡
ÒѾÓÐ3È˻ظ´
¡¾ÇóÖú¡¿matlabÔõôÇó½âƫ΢·Ö·½³Ì×é°¡£¬ÏÈллÁË
ÒѾÓÐ13È˻ظ´
¡¾ÇóÖú¡¿ÓÐÏÞÔª·¨Çó½â¶þ½×ƫ΢·Ö·½³Ì×é
ÒѾÓÐ6È˻ظ´
dingd
Ìú¸Ëľ³æ (Ö°Òµ×÷¼Ò)
- ¼ÆËãÇ¿Ìû: 4
- Ó¦Öú: 1641 (½²Ê¦)
- ½ð±Ò: 15037.3
- É¢½ð: 101
- ºì»¨: 234
- Ìû×Ó: 3410
- ÔÚÏß: 1223.7Сʱ
- ³æºÅ: 291104
- ×¢²á: 2006-10-28
¡¾´ð°¸¡¿Ó¦Öú»ØÌû
|
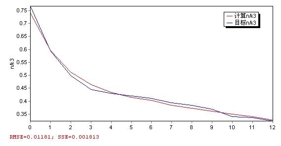
¶¼´óÓÚ0µÄÇé¿ö£º ²ÎÊý ×î¼Ñ¹ÀËã -------------------- ------------- k0 0.0794013113262599 k1 0.113709053635589 k2 0.894263189224898 k3 0.00901787672973793 |
9Â¥2013-01-22 17:03:24
dingd
Ìú¸Ëľ³æ (Ö°Òµ×÷¼Ò)
- ¼ÆËãÇ¿Ìû: 4
- Ó¦Öú: 1641 (½²Ê¦)
- ½ð±Ò: 15037.3
- É¢½ð: 101
- ºì»¨: 234
- Ìû×Ó: 3410
- ÔÚÏß: 1223.7Сʱ
- ³æºÅ: 291104
- ×¢²á: 2006-10-28
¡¾´ð°¸¡¿Ó¦Öú»ØÌû
¡ï ¡ï ¡ï ¡ï ¡ï ¡ï ¡ï ¡ï ¡ï ¡ï ¡ï ¡ï ¡ï ¡ï ¡ï ¡ï ¡ï ¡ï ¡ï ¡ï ¡ï ¡ï ¡ï ¡ï ¡ï ¡ï ¡ï ¡ï ¡ï ¡ï ¡ï ¡ï ¡ï ¡ï ¡ï ¡ï ¡ï ¡ï ¡ï ¡ï ¡ï ¡ï ¡ï ¡ï ¡ï ¡ï ¡ï ¡ï ¡ï ¡ï ¡ï ¡ï ...
¸Ðл²ÎÓ룬ӦÖúÖ¸Êý +1
csgt0: ½ð±Ò+1, ¶àлָµ¼ 2013-01-22 11:21:11
zijikai: ½ð±Ò+65, ¡ïÓаïÖú 2013-01-23 10:22:56
¸Ðл²ÎÓ룬ӦÖúÖ¸Êý +1
csgt0: ½ð±Ò+1, ¶àлָµ¼ 2013-01-22 11:21:11
zijikai: ½ð±Ò+65, ¡ïÓаïÖú 2013-01-23 10:22:56
|
ÄãµÄÄ£Ð͹«Ê½ÓÐÎÞÎÊÌâ°¡£¿ ³õʼÌõ¼þ£ºx=0,N=N0,U=0,D=0, Á½¸ö´úÊýʽ£º N0=N+U+2*D; C=N/N0; ½«U=0,D=0´úÈëÉÏʽ¿ÉµÃ£º N0=N C=N/N0 ¼´C=N0/N0=1£¬¶øÄãµÄÊýÖµ´ËʱC=100 |
2Â¥2013-01-22 09:07:56
zijikai
½ð³æ (³õÈëÎÄ̳)
- Ó¦Öú: 1 (Ó×¶ùÔ°)
- ½ð±Ò: 839.1
- Ìû×Ó: 49
- ÔÚÏß: 72.6Сʱ
- ³æºÅ: 1402646
- ×¢²á: 2011-09-15
- רҵ: ÉúÎï´ó·Ö×ӽṹÓ빦ÄÜ
3Â¥2013-01-22 11:58:22
zijikai
½ð³æ (³õÈëÎÄ̳)
- Ó¦Öú: 1 (Ó×¶ùÔ°)
- ½ð±Ò: 839.1
- Ìû×Ó: 49
- ÔÚÏß: 72.6Сʱ
- ³æºÅ: 1402646
- ×¢²á: 2011-09-15
- רҵ: ÉúÎï´ó·Ö×ӽṹÓ빦ÄÜ
4Â¥2013-01-22 12:00:03
dingd
Ìú¸Ëľ³æ (Ö°Òµ×÷¼Ò)
- ¼ÆËãÇ¿Ìû: 4
- Ó¦Öú: 1641 (½²Ê¦)
- ½ð±Ò: 15037.3
- É¢½ð: 101
- ºì»¨: 234
- Ìû×Ó: 3410
- ÔÚÏß: 1223.7Сʱ
- ³æºÅ: 291104
- ×¢²á: 2006-10-28
5Â¥2013-01-22 16:13:38
zijikai
½ð³æ (³õÈëÎÄ̳)
- Ó¦Öú: 1 (Ó×¶ùÔ°)
- ½ð±Ò: 839.1
- Ìû×Ó: 49
- ÔÚÏß: 72.6Сʱ
- ³æºÅ: 1402646
- ×¢²á: 2011-09-15
- רҵ: ÉúÎï´ó·Ö×ӽṹÓ빦ÄÜ
6Â¥2013-01-22 16:38:18
dingd
Ìú¸Ëľ³æ (Ö°Òµ×÷¼Ò)
- ¼ÆËãÇ¿Ìû: 4
- Ó¦Öú: 1641 (½²Ê¦)
- ½ð±Ò: 15037.3
- É¢½ð: 101
- ºì»¨: 234
- Ìû×Ó: 3410
- ÔÚÏß: 1223.7Сʱ
- ³æºÅ: 291104
- ×¢²á: 2006-10-28
7Â¥2013-01-22 17:00:57
zijikai
½ð³æ (³õÈëÎÄ̳)
- Ó¦Öú: 1 (Ó×¶ùÔ°)
- ½ð±Ò: 839.1
- Ìû×Ó: 49
- ÔÚÏß: 72.6Сʱ
- ³æºÅ: 1402646
- ×¢²á: 2011-09-15
- רҵ: ÉúÎï´ó·Ö×ӽṹÓ빦ÄÜ
8Â¥2013-01-22 17:01:02
zijikai
½ð³æ (³õÈëÎÄ̳)
- Ó¦Öú: 1 (Ó×¶ùÔ°)
- ½ð±Ò: 839.1
- Ìû×Ó: 49
- ÔÚÏß: 72.6Сʱ
- ³æºÅ: 1402646
- ×¢²á: 2011-09-15
- רҵ: ÉúÎï´ó·Ö×ӽṹÓ빦ÄÜ
10Â¥2013-01-22 17:07:59














»Ø¸´´ËÂ¥
ΪʲôÎÒÔËÐв»ÁË£¿