±±¾©Ê¯ÓÍ»¯¹¤Ñ§Ôº2026ÄêÑо¿ÉúÕÐÉú½ÓÊÕµ÷¼Á¹«¸æ
²é¿´: 2711  |  »Ø¸´: 7

¹Å¿É¤×

ÈÙÓþ°æÖ÷ (ÎÄ̳¾«Ó¢)

ÓÅÐãÇø³¤ÓÅÐã°æÖ÷ÓÅÐã°æÖ÷

[ÇóÖú] Çó¸ßÊÖ°ï½âÒ»¸öͼÆ×£¬Ð»Ð»

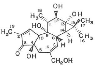
ÏêÏ¸È«ÃæÐÅÏ¢¾´Çë¼û¸½¼þO(¡É_¡É)O¹þ£¡Ä¸ºË¾ÍÊǷ𲨴¼õ¥À࣬ÊôÓÚËÄ»·¶þÝÆÀà°Í¶¹ÓÍÖз𲨴¼õ¥ÀàºÍÖ¬·¾Ëáõ¥Àà³É·ÖµÄÌáÈ¡·ÖÀë
µÚ1½Ú °Í¶¹ÓÍÖз𲨴¼õ¥Àà¶ÔÕÕÆ·µÄ·ÖÀë¼°½á¹¹¼ø¶¨
1.·ð²¨´¼õ¥Àà³É·ÖµÄÌáÈ¡
°Í¶¹ÓÍÔí»¯ºóµÄË®²ãÖзÖÀë³öÀ´µÄ1ºÅ£¨·ð²¨´¼£©¡¢2ºÅ¡¢3ºÅ¡¢4ºÅ¡£
2.½á¹¹¼ø¶¨
2.1»¯ºÏÎïI
°×É«·ÛÄ©£¬Ò×ÈÜÓÚË®£¬¿ÉÈÜÓÚ¼×´¼¡¢ÒÒ´¼¡¢Âȷ£¬²»ÈÜÓÚʯÓÍÃÑ¡¢±½µÈÇ×Ö¬ÐÔÓлúÈܼÁ¡£EI-MS£¨m/z£©:363[M-]¼û¸½Í¼1¡£1H-NMR£¨400MHz£¬MeOH£©ºÍ13C-NMR£¨400MHz£¬CDCl3£©¼û¸½Í¼2-5£¬ÓëÎÄÏ×±¨µÀµÄphorbol£¨ÖÐÎÄÃû·ð²¨´¼£©Ì¼ÇâÆ×Êý¾Ý»ù±¾Ò»Ö¡£×ۺϵóö£¬¹ÊÈ·Èϸû¯ºÏÎïµÄ·Ö×ÓʽΪC20H28O6£¬»¯Ñ§½á¹¹¼ûͼ1£¬Ó¢ÎÄÃûphorbol£¬ÖÐÎÄÃû·ð²¨´¼¡£

ͼ1 ·ð²¨´¼µÄ½á¹¹Ê½


¸½Í¼1  1ºÅ·ð²¨´¼ÖÊÆ×


¸½Í¼2  1ºÅ·ð²¨´¼ÇâÆ×


¸½Í¼3  1ºÅ·ð²¨´¼ÇâÆ×


¸½Í¼4  1ºÅ·ð²¨´¼Ì¼Æ×


¸½Í¼5 1ºÅ·ð²¨´¼Ì¼Æ×

2.2»¯ºÏÎïII
µ­»ÆÉ«·ÛÄ©£¬Ò×ÈÜÓÚË®£¬¿ÉÈÜÓÚ¼×´¼¡¢ÒÒ´¼¡¢Âȷ£¬²»ÈÜÓÚʯÓÍÃÑ¡¢±½µÈÇ×Ö¬ÐÔÓлúÈܼÁ¡£EI-MS£¨m/z£©:318[M-]¸½Â¼Í¼6¡£½áºÏ1H-NMR£¨400MHz£¬CDCl3£©ºÍ13C-NMR£¨400MHz£¬MeOH£©Æ×£¨Ïà¹ØÍ¼Æ×¼û¸½Â¼Í¼7-10£©¡£

¸½Í¼6  2ºÅÖÊÆ×


¸½Í¼7  2ºÅÇâÆ×


¸½Í¼8  2ºÅÇâÆ×


¸½Í¼9  2ºÅ̼Æ×


¸½Í¼10  2ºÅ̼Æ×

2.3»¯ºÏÎï¢ó
µ­»ÆÉ«·ÛÄ©£¬Ò×ÈÜÓÚË®£¬¿ÉÈÜÓÚ¼×´¼¡¢ÒÒ´¼¡¢Âȷ£¬²»ÈÜÓÚʯÓÍÃÑ¡¢±½µÈÇ×Ö¬ÐÔÓлúÈܼÁ¡£EI-MS£¨m/z£©:363[M-]¸½Â¼Í¼11¡£1H-NMR£¨400MHz£¬MeOH£©ºÍ13C-NMR£¨400MHz£¬MeOH£©Æ×£¨Ïà¹ØÍ¼Æ×¼û¸½Â¼Í¼12-15£©¡£

¸½Í¼11  3ºÅÖÊÆ×


¸½Í¼12  3ºÅÇâÆ×


¸½Í¼13  3ºÅÇâÆ×


¸½Í¼14  3ºÅ̼Æ×


¸½Í¼15  3ºÅ̼Æ×

2.4»¯ºÏÎï¢ô
µ­»ÆÉ«·ÛÄ©£¬Ò×ÈÜÓÚË®£¬¿ÉÈÜÓÚ¼×´¼¡¢ÒÒ´¼¡¢Âȷ£¬²»ÈÜÓÚʯÓÍÃÑ¡¢±½µÈÇ×Ö¬ÐÔÓлúÈܼÁ¡£EI-MS£¨m/z£©:363[M-]¸½Í¼16¡£1H-NMR£¨400MHz£¬MeOH£©ºÍ13C-NMR£¨400MHz£¬MeOH£©Æ×£¨Ïà¹ØÍ¼Æ×¼û¸½Í¼17-18£©¡£

¸½Í¼16  4ºÅÖÊÆ×


¸½Í¼17  4ºÅÇâÆ×


¸½Í¼18  4ºÅ̼Æ×

µÚ2½Ú °Í¶¹ÓÍÖÐÖ¬·¾Ëáõ¥Àà¶ÔÕÕÆ·µÄ·ÖÀë¼°½á¹¹¼ø¶¨
2.2Ö¬·¾Ëáõ¥Àà³É·ÖµÄÌáÈ¡·ÖÀë
°Í¶¹ÓÍÔí»¯ºóµÄʯÓÍÃѲãÖзÖÀë³öÀ´µÄBD-1¡¢BD-2¡¢BD-3¡¢BD-4¡£
3½á¹¹¼ø¶¨
3.1»¯ºÏÎïI
°×É«·ÛÄ©£¬²»ÈÜÓÚË®¡¢¿ÉÈÜÓÚ¼×´¼¡¢ÒÒ´¼£¬ÈÜÓÚ±ûͪ¡¢ÂȷµÈÇ×Ö¬ÐÔÓлúÈܼÁ¡£1H-NMR£¨400MHz£¬CDCl13£©ºÍ13C-NMR£¨400MHz£¬CDCl13£©Æ×£¨Ïà¹ØÍ¼Æ×¼û¸½Í¼19-21£©¡£

¸½Í¼19   BD-1ÇâÆ×


¸½Í¼20   BD-1ÇâÆ×


¸½Í¼21   BD-1̼Æ×


3.2»¯ºÏÎïII
°×É«·ÛÄ©£¬²»ÈÜÓÚË®¡¢¿ÉÈÜÓÚ¼×´¼¡¢ÒÒ´¼£¬ÈÜÓÚ±ûͪ¡¢ÂȷµÈÇ×Ö¬ÐÔÓлúÈܼÁ¡£1H-NMR£¨400MHz£¬CDCl13£©ºÍ13C-NMR£¨400MHz£¬CDCl13£©Æ×£¨Ïà¹ØÍ¼Æ×¼û¸½Í¼22-25£©¡£

¸½Í¼22  BD-2ÇâÆ×


¸½Í¼23  BD-2ÇâÆ×


¸½Í¼24   BD-2̼Æ×


¸½Í¼25   BD-2̼Æ×


3.3»¯ºÏÎï¢ó
°×É«·ÛÄ©£¬²»ÈÜÓÚË®¡¢¿ÉÈÜÓÚ¼×´¼¡¢ÒÒ´¼£¬ÈÜÓÚ±ûͪ¡¢ÂȷµÈÇ×Ö¬ÐÔÓлúÈܼÁ¡£1H-NMR£¨400MHz£¬CDCl13£©ºÍ13C-NMR£¨400MHz£¬CDCl13£©Æ×£¨Ïà¹ØÍ¼Æ×¼û¸½Í¼26-28£©¡£

¸½Í¼26  BD-3ÇâÆ×


¸½Í¼27  BD-3ÇâÆ×


¸½Í¼28  BD-3̼Æ×


3.4»¯ºÏÎï¢ô
°×É«·ÛÄ©£¬²»ÈÜÓÚË®¡¢¿ÉÈÜÓÚ¼×´¼¡¢ÒÒ´¼£¬ÈÜÓÚ±ûͪ¡¢ÂȷµÈÇ×Ö¬ÐÔÓлúÈܼÁ¡£1H-NMR£¨400MHz£¬CDCl13£©ºÍ13C-NMR£¨400MHz£¬CDCl13£©Æ×£¨Ïà¹ØÍ¼Æ×¼û¸½Í¼29-31£©¡£

¸½Í¼29  BD-4ÇâÆ×


¸½Í¼30  BD-4ÇâÆ×

¸½Í¼31  BD-4̼Æ×

[ Last edited by ¹Å¿É¤× on 2013-3-9 at 22:56 ]
»Ø¸´´ËÂ¥

» ±¾Ìû¸½¼þ×ÊÔ´Áбí

  • »¶Ó­¼à¶½ºÍ·´À¡£ºÐ¡Ä¾³æ½öÌṩ½»Á÷ƽ̨£¬²»¶Ô¸ÃÄÚÈݸºÔð¡£
    ±¾ÄÚÈÝÓÉÓû§×ÔÖ÷·¢²¼£¬Èç¹ûÆäÄÚÈÝÉæ¼°µ½ÖªÊ¶²úȨÎÊÌ⣬ÆäÔðÈÎÔÚÓÚÓû§±¾ÈË£¬Èç¶Ô°æÈ¨ÓÐÒìÒ飬ÇëÁªÏµÓÊÏ䣺xiaomuchong@tal.com
  • ¸½¼þ 1 : ½âÆ×.docx
  • 2013-03-09 22:23:23, 1.13 M

» ±¾Ìû@֪ͨ

» ²ÂÄãϲ»¶

» ±¾Ö÷ÌâÏà¹ØÉ̼ÒÍÆ¼ö: (ÎÒÒ²ÒªÔÚÕâÀïÍÆ¹ã)

» ±¾Ö÷ÌâÏà¹Ø¼ÛÖµÌùÍÆ¼ö£¬¶ÔÄúͬÑùÓаïÖú:

·ÇÎáСÌìÏ£¬²Å¸ß¶øÒÑ£»·ÇÎá×ݹŽñ£¬Ê±¸³¶øÒÑ£»·ÇÎáíþ¾ÅÖÝ£¬ºê¹Û¶øÒÑ£»Èý·ÇÑÉ×ÎÞÃÎÖÁʤ
ÒÑÔÄ   »Ø¸´´ËÂ¥   ¹Ø×¢TA ¸øTA·¢ÏûÏ¢ ËÍTAºì»¨ TAµÄ»ØÌû

hxl4054

Ìú¸Ëľ³æ (ÖªÃû×÷¼Ò)

Ѧ¶¨Ú̵Äß÷ÐÇÈË

Ã²ËÆÐÅÏ¢Á¿²»¹»°¡£¬ÄÇô¶àC£¬Ã»ÓÐÏà¹ØÆ×£¬ÁªÏµ²»ÉÏ£¬ÓиöcosyÆ×¾ÍºÃ¶àÁË

̾×Ô¼ºË®Æ½²»Ðа¡
2Â¥2012-12-21 00:20:26
ÒÑÔÄ   »Ø¸´´ËÂ¥   ¹Ø×¢TA ¸øTA·¢ÏûÏ¢ ËÍTAºì»¨ TAµÄ»ØÌû

hxl4054

Ìú¸Ëľ³æ (ÖªÃû×÷¼Ò)

Ѧ¶¨Ú̵Äß÷ÐÇÈË

¸½¼þÖеÄPDFÎļþ¸úÌù³öµÄͼƬ²»Ò»Ö°¡

pdfÖÐÃ÷ÏÔÊÇ4¸öÖ¬·¾ËᣬÌù³öÀ´µÄºÜ¸´ÔÓ
3Â¥2012-12-21 00:25:27
ÒÑÔÄ   »Ø¸´´ËÂ¥   ¹Ø×¢TA ¸øTA·¢ÏûÏ¢ ËÍTAºì»¨ TAµÄ»ØÌû

mzp-0

ľ³æ (ÕýʽдÊÖ)

¡¾´ð°¸¡¿Ó¦Öú»ØÌû

¡ï ¡ï ¡ï ¡ï ¡ï ¡ï ¡ï ¡ï ¡ï ¡ï ¡ï ¡ï ¡ï ¡ï ¡ï ¡ï ¡ï ¡ï ¡ï ¡ï ¡ï ¡ï ¡ï ¡ï ¡ï ¡ï ¡ï ¡ï ¡ï ¡ï
¸Ðл²ÎÓ룬ӦÖúÖ¸Êý +1
¹Å¿É¤×: ½ð±Ò+30, ¡ïÓаïÖú, ллÌṩÐÅÏ¢ 2013-03-09 19:02:15
¸øÄã²éÁËÏÂ΢̼Æ×
ÓÐÒÔÏÂÕâЩ½á¹¹£¬Äã¿ÉÒԲο¼Ò»ÏÂ
½ö¹©²Î¿¼)  
--------------------------------------------------------------------------------

1 .     plucheoside A
    ÏàËÆ¶È:61.9%
Phytochemistry          1989          28          3369-3372
Terpenic glycosides from Pluchea indica
Taketo Uchiyama,Toshio Miyase,Akira Ueno,Khan Usmanghani
Structure      13C NMR   Ì¼Æ×Ä£Äâͼ

--------------------------------------------------------------------------------

2 .     trifolione D
C20H30O4     ÏàËÆ¶È:57.1%
Chemical & Pharmaceutical Bulletin          1996          44          492-499
Medicinal Foodstuffs. II. On the Bioactive Constituents of the Tuber of Sagittaria trifolia L. (Kuwai, Alismataceae) : Absolute Stereostructures of Trifoliones A, B, C, and D, Sagittariosides a and b, and Arabinothalictoside
Masayuki YOSHIKAWA,Satoshi YOSHIZUMI,Toshiyuki MURAKAMI,Hisashi MATSUDA,Johji YAMAHARA and Nobutoshi MURAKAMI
Structure      13C NMR   Ì¼Æ×Ä£Äâͼ

--------------------------------------------------------------------------------

3 .     trifolione D
C20H30O4     ÏàËÆ¶È:57.1%
Chemical & Pharmaceutical Bulletin          1993          41          1677-1679
ABSOLUTE STEREOSTRUCTURES OF TRIFOLIONES A, B, C, AND D, NEW BIOLOGICALLY ACTIVE DITERPENES FROM THE TUBER OF SAGITTARIA TRIFOLIA L.
Masayuki YOSHIKAWA,Shoko YAMAGUCHI(nee HATAKEYAMA),Toshiyuki MURAKAMI,Hisashi MATSUDA,Johji YAMAHARA and Nobutoshi MURAKAMI
Structure      13C NMR   Ì¼Æ×Ä£Äâͼ

--------------------------------------------------------------------------------

4 .     ixerin H
    ÏàËÆ¶È:57.1%
Chemical & Pharmaceutical Bulletin          1986          34          4170-4176
Sesquiterpene Lactones from Ixeris dentata NAKAI
MAMORU SETO,TOSHIO MIYASE and SEIGO FUKUSHIMA
Structure      13C NMR   Ì¼Æ×Ä£Äâͼ

--------------------------------------------------------------------------------

5 .     14-O-¦Â-D-glucosyl-11,13-dihydro-taraxinic acid
C21H30O9     ÏàËÆ¶È:57.1%
Journal of Asian Natural Products Research          2001          3          191-197
SESQUITERPENE GLUCOSIDES FROM ANTI-LEUKOTRIENE B4 RELEASE FRACTION OFTA RA XA CUM OFFICINA LE
YOSHIKI KASHIWADA,KOICHIRO TAKANAKA,SHIGEO TANAKA and YASUMASA IKESHIRO HARUMI TSLJKADA,YOSHIHISA MIWAT ORU TAGA
Structure      13C NMR   Ì¼Æ×Ä£Äâͼ

--------------------------------------------------------------------------------

6 .     megastigmane-3¦Á,4¦Â,9¦Î-triol3-O-¦Â-D-glucopyranoside
C19H36O8     ÏàËÆ¶È:57.1%
Journal of Integrative Plant Biology          2005          47          362-367
Chemical Constituents of Schisandra rubriflora Rehd. et Wils.
Gan-Peng LI, Jing-Feng ZHAO, Yong-Qiang TU, Xiao-Dong YANG, Hong-Bin ZHANG and Liang LI
Structure      13C NMR   Ì¼Æ×Ä£Äâͼ

--------------------------------------------------------------------------------

7 .     CJ-13,564
C21H27NO2     ÏàËÆ¶È:57.1%
The Journal of Antibiotics          1998          51          145-152
New Quinolone Compounds from Pseudonocardia sp. with Selective and Potent Anti-Helicobacter pylori Activity: Taxonomy of Producing Strain, Fermentation, Isolation, Structural Elucidation and Biological Activities
KOEN A. DEKKER, TAISUKE INAGAKI, THOMAS D. GOOTZ, LIANG H. HUANG, YASUHIRO KOJIMA, WILLIAM E. KOHLBRENNER, YASUE MATSUNAGA, PAUL R. MCGUIRK, ETSUKO NOMURA, TATSUO SAKAKIBARA, SHINICHI SAKEMI, YUMIKO SUZUKI, YUJI YAMAUCHI, NAKAO KOJIMA
Structure      13C NMR   Ì¼Æ×Ä£Äâͼ

--------------------------------------------------------------------------------

8 .     4¦Â-deoxy-phorbol-13-acetate
C22H30O6     ÏàËÆ¶È:54.5%
Bioorganic & Medicinal Chemistry Letters          2001          11          719-722
The C4 hydroxyl group of phorbol esters is not necessary for protein kinase C binding
Minoru Tanaka, Kazuhiro Irie, Yu Nakagawa, Yoshimasa Nakamura, Hajime Ohigashi, Paul A. Wender
Structure      13C NMR   Ì¼Æ×Ä£Äâͼ

--------------------------------------------------------------------------------

9 .     Breyniaionoside B
C19H34O9     ÏàËÆ¶È:52.3%
Chemical & Pharmaceutical Bulletin          2004          52(9)          1086-1090
Terpenic and Phenolic Glycosides from Leaves of Breynia officinalis HEMSL.
Hiroyuki MORIKAWA,Ryoji KASAI, Hideaki OTSUKA,Eiji HIRATA,Takakazu SHINZATO,Mitsunori ARAMOTO,and Yoshio TAKEDA
Structure      13C NMR   Ì¼Æ×Ä£Äâͼ

--------------------------------------------------------------------------------

10 .     lasianthionoside C
C19H31O8     ÏàËÆ¶È:52.3%
Phytochemistry          2004          65          485-489
Lasianthionosides A¨CC, megastigmane glucosides from leaves of Lasianthus fordii
Yoshio Takeda, Hideko Shimizu, Toshiya Masuda, Eiji Hirata, Takakazu Shinzato,Masahiko Bando, Hideaki Otsuka
Structure      13C NMR   Ì¼Æ×Ä£Äâͼ

--------------------------------------------------------------------------------

11 .     eiseniachloride C
C20H29ClO3     ÏàËÆ¶È:52.3%
Journal of Natural Products          2003          66          1318-1323
Novel Oxylipin Metabolites from the Brown Alga Eisenia bicyclis
Kenji Kousaka, Nobuyuki Ogi, Yasutomo Akazawa,Makiko Fujieda, Yuzo Yamamoto, Yuuki Takada, and Junji Kimura
Structure      13C NMR   Ì¼Æ×Ä£Äâͼ

--------------------------------------------------------------------------------

12 .     picrasin B
    ÏàËÆ¶È:52.3%
Planta Medica          1988          54          352-355
1H- and 13C-NMR Spectroscopic Studies of Selected Quassinoids
Matthias O. Hamburger and Geoffrey A. Cordei
Structure      13C NMR   Ì¼Æ×Ä£Äâͼ

--------------------------------------------------------------------------------

13 .     Costunolide-15-¦Â-D-glucopyranoside
C21H30O8     ÏàËÆ¶È:52.3%
Acta Botanica Yunnanica          1997          19(1)          85-91
STUDY ON CHEMICAL CONSTITUENTS OF SAUSSUREA LAPPA
Yang Hui,¡¡Xie Jinlun, ¡¡Sun Handong
Structure      13C NMR   Ì¼Æ×Ä£Äâͼ

--------------------------------------------------------------------------------

14 .     1¦Á,2¦Á-Epoxy-1,4--androstadien-3¦Â,17¦Â-diol
    ÏàËÆ¶È:52.3%
Molecules          2005          10          572-582
Epoxidation and Reduction of DHEA, 1, 4, 6-Androstatrien-3-one and 4, 6-Androstadien-3¦Â, 17¦Â-diol
Eunsook Ma and Eunjeong Kim
Structure      13C NMR   Ì¼Æ×Ä£Äâͼ

--------------------------------------------------------------------------------

15 .     11,13-dihydro-taraxinic acid-1'-O-¦Â-D-glucopyranoside
    ÏàËÆ¶È:52.3%
Acta Pharmaceutica Sinica          2002          Vol 37          33-36
ANTI-GASTRIC ULCER SESQUITERPENE LACTONE GLYCOSIDES FROM CREPIS NAPIFERA
WU Shao hua; LUO Xiao dong; MA Yun bao; HAO Xiao jiang; WU Da gang
Structure      13C NMR   Ì¼Æ×Ä£Äâͼ

--------------------------------------------------------------------------------

16 .     napiferoside
C21H30O9     ÏàËÆ¶È:52.3%
Acta Pharmaceutica Sinica          2000          Vol 35          442-444
ISOLATION AND IDENTIFICATION OF SESQUITERPENES FROM CREPIS NAPIFERA
ZHAO Ai Hua; PENG Xiao Yan; TANG Chuan Jin; ZHANG Rong Ping
Structure      13C NMR   Ì¼Æ×Ä£Äâͼ

--------------------------------------------------------------------------------

17 .     ixerin H
    ÏàËÆ¶È:52.3%
Natural Product Sciences          2005          11          55-57
Sesquiterpene Lactones from the Roots of Ixeris sonchifolia
Jo, Young-Mi; Suh, Ji-Young; Bae, Song-Ja; Jung, Jee-H.; Im, Kwang-Sik
Structure      13C NMR   Ì¼Æ×Ä£Äâͼ

--------------------------------------------------------------------------------

18 .     dihydroxy acidissiminol
C25H33NO5     ÏàËÆ¶È:52.3%
Phytochemistry          1994          37          757-760
Dihydroxy acidissiminol and acidissiminol epoxide, two tyramine derivatives from Limonia acidissima
Parthasarathi Ghosh, Mrinal Kanti Ghosh, Swapnadip Thakur, Jasodhara dan (Datta), Toshihiro Akihisa, Toshitake Tamura, Yumiko Kimura
Structure      13C NMR   Ì¼Æ×Ä£Äâͼ

--------------------------------------------------------------------------------

19 .     2¦Á,3¦Á,5-Trihydroxy-5¦Á-pregnane-6,20-dione
C21H32O5     ÏàËÆ¶È:52.3%
Canadian Journal of Chemistry          2005          83          1084-1092
Synthesis and preliminary bioactivity evaluation of new pregnane brassinosteroid-like compounds
Daniel G. Rivera and Francisco Coll
Structure      13C NMR   Ì¼Æ×Ä£Äâͼ

--------------------------------------------------------------------------------

20 .     costunolid-15-¦Â-D-glucopyranoside
C21H30O8     ÏàËÆ¶È:52.3%
Chinese Journal of Natural Medicines          2004          2          62-64
Study on the Chemical Constituents of Saussurea Lappa
LI Shuo; HU Li Hong; LOU Feng Chang
Structure      13C NMR   Ì¼Æ×Ä£Äâͼ

--------------------------------------------------------------------------------

21 .     compound 6
C26H42O7     ÏàËÆ¶È:52.3%
Tetrahedron Letters          2002          43          4605-4608
Covilanone: a new rearranged labdane type diterpene
J.M.L. Rodilla, M.I. Ismael, L.A. Silva, J.P. Ces¨¢rio Serrano, J.G. Urones, F. Sanz
Structure      13C NMR   Ì¼Æ×Ä£Äâͼ

--------------------------------------------------------------------------------

22 .     Cytosporin D
C19H30O5     ÏàËÆ¶È:52.3%
Tetrahedron          2008          64          5365-5369
Cytosporin-related compounds from the marine-derived fungus Eutypella scoparia
Maria Letizia Ciavatta, M. Pilar Lopez-Gresa, Margherita Gavagnin, Rosario Nicoletti, Emiliano Manzo, Ernesto Mollo, Yue-Wei Guo, Guido Cimino
Structure      13C NMR   Ì¼Æ×Ä£Äâͼ

--------------------------------------------------------------------------------

23 .     cespihypotin G
C20H30O5     ÏàËÆ¶È:52.3%
Tetrahedron          2007          63          10914-10920
Eight new diterpenoids from soft coral Cespitularia hypotentaculata
Ya-Ching Shen, Ying-Ru Wu, Jyun-Jhou Lin, Kuang-Liang Lo, Yuh-Chi Kuo, Ashraf Taha Khalil
Structure      13C NMR   Ì¼Æ×Ä£Äâͼ

--------------------------------------------------------------------------------

24 .     3¦Á-hydroxy-11,19-epoxypregn-4-ene-20-one
    ÏàËÆ¶È:52.3%
Bioorganic & Medicinal Chemistry          2008          16          3831-3838
Synthesis and GABAA receptor activity of oxygen-bridged neurosteroid analogs
Lautaro D. Alvarez, Adriana S. Veleiro, Ricardo F. Baggio, Mar¨ªa T. Garland, Valeria C. Edelsztein, H¨¦ctor Coirini, Gerardo Burton
Structure      13C NMR   Ì¼Æ×Ä£Äâͼ

--------------------------------------------------------------------------------

25 .     (4aS,4bR,8R,8aR)-8-(tert-butyldimethylsilyloxy)-4a-(hydroxymethyl)-1,8a-dimethyl-4,4a,4b,5,6,7,8,8a,9,10-decahydrophenanthren-2(3H)-one
C23H40O3Si     ÏàËÆ¶È:52.3%
Tetrahedron          2012          68          9029-9034
First synthesis of decaturin C, an antiinsectant diterpenoid isolated from Penicillium thiersiiOriginal Research Article
Kimiharu Nakazaki, Kojiro Hayashi, Shintaro Hosoe, Takuya Tashiro, Masaki Kuse, Hirosato Takikawa
Structure      13C NMR   Ì¼Æ×Ä£Äâͼ

--------------------------------------------------------------------------------

26 .     ethyl (1R*,2S*,3R*,4S*)-2-{[(tert-butoxy)carbonyl]amino}-4-((1S*)-1-{[(tert-butoxy)carbonyl]amino}-2-ethylbutyl)-3-hydroxycyclopentanecarboxylate
C24H44N2O7     ÏàËÆ¶È:52.3%
Chemistry & Biodiversity          2012          9          2571-2581
Synthesis of Highly Functionalized Fluorinated Cispentacin Derivatives
Melinda Nonn, Lor¨¢nd Kiss, Mikko M. Hänninen, Reijo Sillanpää and Ferenc F¨¹löp
Structure      13C NMR   Ì¼Æ×Ä£Äâͼ

--------------------------------------------------------------------------------

27 .     12¦Â-O-2-methylbutyryltenacigenin A
    ÏàËÆ¶È:50%
Phytochemistry          2005          66          1040-1051
Marsdenosides A¨CH, polyoxypregnane glycosides from Marsdenia tenacissima
Jun Deng, Zhixin Liao, Daofeng Chen
Structure      13C NMR   Ì¼Æ×Ä£Äâͼ

--------------------------------------------------------------------------------

28 .     saliniketal A
C22H37NO5     ÏàËÆ¶È:50%
Journal of Natural Products          2007          70          83-88
Saliniketals A and B, Bicyclic Polyketides from the Marine Actinomycete Salinispora arenicola
Philip G.Williams,Ratnakar N. Asolkar, Tamara Kondratyuk,John M. Pezzuto,Paul R. Jensen, and William Fenical
Structure      13C NMR   Ì¼Æ×Ä£Äâͼ

--------------------------------------------------------------------------------

29 .     3¦Á-t-Butyldimethylsilyloxy-20¦Â-hydroxy-6-oxa-5¦Á-pregnane
C22H39O3Si     ÏàËÆ¶È:50%
Steroids          2000          65          349-356
Synthesis and GABAA receptor activity of 6-oxa-analogs of neurosteroids
Daniel Nicoletti, Alberto A. Ghini, Roman Furtm¨¹ller, Werner Sieghart, Robert H. Dodd, Gerardo Burton
Structure      13C NMR   Ì¼Æ×Ä£Äâͼ

--------------------------------------------------------------------------------

30 .     16-hydroxyphorbol-16-acetate
C22H30O8     ÏàËÆ¶È:50%
Chemical & Pharmaceutical Bulletin          2009          57          1289-1291
Diterpene Esters and Phenolic Compounds from Sapium insigne (ROYLE) BENTH. ex HOOK. fil.
Hari Prasad Devkota, Purusotam Basnet and Shoji Yahara
Structure      13C NMR   Ì¼Æ×Ä£Äâͼ

--------------------------------------------------------------------------------

31 .     4¦Â-deoxy-16-hydroxyphorbol-16-acetate
C22H30O7     ÏàËÆ¶È:50%
Chemical & Pharmaceutical Bulletin          2009          57          1289-1291
Diterpene Esters and Phenolic Compounds from Sapium insigne (ROYLE) BENTH. ex HOOK. fil.
Hari Prasad Devkota, Purusotam Basnet and Shoji Yahara
Structure      13C NMR   Ì¼Æ×Ä£Äâͼ

--------------------------------------------------------------------------------

32 .     compound 1a
    ÏàËÆ¶È:50%
Pharmazie          2005          60          554-558
Sesquiterpenes and other constituents from Achillea wilsoniana
Min Yang, Ji-Xin Li, Xin Li and Zhong-Jian Jia
Structure      13C NMR   Ì¼Æ×Ä£Äâͼ

--------------------------------------------------------------------------------

33 .     saliniketal A
    ÏàËÆ¶È:50%
The Journal of Antibiotics          2009          62          519-526
Salinisporamycin, a novel metabolite from Salinispora arenicora
Satoru Matsuda, Kyoko Adachi, Yoshihide Matsuo, Manabu Nukina and Yoshikazu Shizuri
Structure      13C NMR   Ì¼Æ×Ä£Äâͼ

--------------------------------------------------------------------------------

34 .     phorbol-13-actate
    ÏàËÆ¶È:50%
Natural Product Research          2012          26          2309-2315
Chemical constituents of Euphorbia tangutica
Ben-Yin Zhang, Huan Wang, Xiao-Dong Luo, Zhi-Zhi Du, Hai-Feng Wu, Jian-Wei Shen & Xiao-feng Zhang
Structure      13C NMR   Ì¼Æ×Ä£Äâͼ

--------------------------------------------------------------------------------

35 .     4-[(10S)dihydroartemisinin-10-oxy]benzaldehyde 4-(2,4-dimethylphenyl)semicarbazone
    ÏàËÆ¶È:50%
Archives of Pharmacal Research          2012          35          1525-1531
Synthesis and biological activities of novel artemisinin derivatives as cysteine protease falcipain-2 inhibitors
Yang Liu, Wei-Qiang Lu, Kun-Qiang Cui, Wei Luo and Jian Wang, et al.
Structure      13C NMR   Ì¼Æ×Ä£Äâͼ
4Â¥2012-12-21 10:12:24
ÒÑÔÄ   »Ø¸´´ËÂ¥   ¹Ø×¢TA ¸øTA·¢ÏûÏ¢ ËÍTAºì»¨ TAµÄ»ØÌû

¹Å¿É¤×

ÈÙÓþ°æÖ÷ (ÎÄ̳¾«Ó¢)

ÓÅÐãÇø³¤ÓÅÐã°æÖ÷ÓÅÐã°æÖ÷

ÒýÓûØÌû:
3Â¥: Originally posted by hxl4054 at 2012-12-21 00:25:27
¸½¼þÖеÄPDFÎļþ¸úÌù³öµÄͼƬ²»Ò»Ö°¡

pdfÖÐÃ÷ÏÔÊÇ4¸öÖ¬·¾ËᣬÌù³öÀ´µÄºÜ¸´ÔÓ

»¹ÐèÒªÆäËûÂð
·ÇÎáСÌìÏ£¬²Å¸ß¶øÒÑ£»·ÇÎá×ݹŽñ£¬Ê±¸³¶øÒÑ£»·ÇÎáíþ¾ÅÖÝ£¬ºê¹Û¶øÒÑ£»Èý·ÇÑÉ×ÎÞÃÎÖÁʤ
5Â¥2013-03-09 19:01:25
ÒÑÔÄ   »Ø¸´´ËÂ¥   ¹Ø×¢TA ¸øTA·¢ÏûÏ¢ ËÍTAºì»¨ TAµÄ»ØÌû

kobechan

ÖÁ×ðľ³æ (ÖªÃû×÷¼Ò)

ʯ¹Ä

ÓÅÐã°æÖ÷

¡¾´ð°¸¡¿Ó¦Öú»ØÌû

2¸ö»¯ºÏÎï½á¹¹ÀàËÆ£¬³õ²½ÅжÏΪ¶þÝÆÀ໯ºÏÎï¡£°Í¶¹Êô¶þÝÆÀà³É·ÖºÜ¶àÁË£¬¶Ô¶ÔÎÄÏ×È·¶¨Ä¸ºË°É¡£¡£
6Â¥2013-03-09 19:52:21
ÒÑÔÄ   »Ø¸´´ËÂ¥   ¹Ø×¢TA ¸øTA·¢ÏûÏ¢ ËÍTAºì»¨ TAµÄ»ØÌû

lizi7952

ÈÙÓþ°æÖ÷ (ÎÄ̳¾«Ó¢)

ÎÒÊÇһֻСССС³æ

ÎÄÏ׽ܳö¹±Ï×ÓÅÐã°æÖ÷

ÒªÊÇÓиöµÍ·Ö±æÖÊÆ×¾ÍºÃ½âÁË£¬
¿Éϧ×î½üûɶʱ¼ä¿´¡£
·¢Ìûǰ£¬ÇëËÑË÷ÏÈ¡£http://emuch.net/search/
7Â¥2013-03-09 20:36:07
ÒÑÔÄ   »Ø¸´´ËÂ¥   ¹Ø×¢TA ¸øTA·¢ÏûÏ¢ ËÍTAºì»¨ TAµÄ»ØÌû

¹Å¿É¤×

ÈÙÓþ°æÖ÷ (ÎÄ̳¾«Ó¢)

ÓÅÐãÇø³¤ÓÅÐã°æÖ÷ÓÅÐã°æÖ÷

ÒýÓûØÌû:
6Â¥: Originally posted by kobechan at 2013-03-09 19:52:21
2¸ö»¯ºÏÎï½á¹¹ÀàËÆ£¬³õ²½ÅжÏΪ¶þÝÆÀ໯ºÏÎï¡£°Í¶¹Êô¶þÝÆÀà³É·ÖºÜ¶àÁË£¬¶Ô¶ÔÎÄÏ×È·¶¨Ä¸ºË°É¡£¡£

Ò»¹²·Öµ½Ëĸö»¯ºÏÎÓÐÒ»¸ö½â³öÀ´ÁË£¬Äã¿´¿´¶ÔÆäËûÈý¸öÓÐûÓеãÍ·Ð÷

» ±¾Ìû¸½¼þ×ÊÔ´Áбí

  • »¶Ó­¼à¶½ºÍ·´À¡£ºÐ¡Ä¾³æ½öÌṩ½»Á÷ƽ̨£¬²»¶Ô¸ÃÄÚÈݸºÔð¡£
    ±¾ÄÚÈÝÓÉÓû§×ÔÖ÷·¢²¼£¬Èç¹ûÆäÄÚÈÝÉæ¼°µ½ÖªÊ¶²úȨÎÊÌ⣬ÆäÔðÈÎÔÚÓÚÓû§±¾ÈË£¬Èç¶Ô°æÈ¨ÓÐÒìÒ飬ÇëÁªÏµÓÊÏ䣺xiaomuchong@tal.com
  • ¸½¼þ 1 : ½âÆ×.docx
  • 2013-03-09 22:21:20, 1.13 M
·ÇÎáСÌìÏ£¬²Å¸ß¶øÒÑ£»·ÇÎá×ݹŽñ£¬Ê±¸³¶øÒÑ£»·ÇÎáíþ¾ÅÖÝ£¬ºê¹Û¶øÒÑ£»Èý·ÇÑÉ×ÎÞÃÎÖÁʤ
8Â¥2013-03-09 22:21:23
ÒÑÔÄ   »Ø¸´´ËÂ¥   ¹Ø×¢TA ¸øTA·¢ÏûÏ¢ ËÍTAºì»¨ TAµÄ»ØÌû
Ïà¹Ø°æ¿éÌø×ª ÎÒÒª¶©ÔÄÂ¥Ö÷ ¹Å¿É¤× µÄÖ÷Ìâ¸üÐÂ
×î¾ßÈËÆøÈÈÌûÍÆ¼ö [²é¿´È«²¿] ×÷Õß »Ø/¿´ ×îºó·¢±í
[¿¼ÑÐ] Ò»Ö¾Ô¸ ÄϾ©º½¿Õº½Ìì´óѧ £¬080500²ÄÁÏ¿ÆÑ§Ó빤³Ìѧ˶ +10 @taotao 2026-03-30 10/500 2026-04-05 17:57 by jj987
[¿¼ÑÐ] 080200ѧ˶£¬»úе¹¤³Ìרҵ277·Ö£¬Çó´ø×ߣ¡ +7 Æ¿×ÓPZ 2026-03-31 7/350 2026-04-05 17:49 by liucky
[¿¼ÑÐ] 262Çóµ÷¼Á +3 ÌìϵÚÒ»ÎÄ 2026-04-04 4/200 2026-04-05 17:07 by yulian1987
[¿¼ÑÐ] 277Çóµ÷¼Á +5 Æ¿×ÓPZ 2026-04-05 5/250 2026-04-05 17:00 by yulian1987
[¿¼ÑÐ] Çóµ÷¼Á +6 ÕÅ.1 2026-04-05 6/300 2026-04-05 16:30 by imissbao
[¿¼ÑÐ] ¹¤¿ÆÇóµ÷¼Á +15 11ggg 2026-04-03 15/750 2026-04-05 16:24 by zzx2138
[¿¼ÑÐ] 313Çóµ÷¼Á +5 º£ÈÕº£ÈÕ 2026-04-04 7/350 2026-04-05 13:58 by imissbao
[¿¼ÑÐ] ²ÄÁϵ÷¼Á +7 dxyµ÷¼Á 2026-04-04 7/350 2026-04-05 09:15 by İÇï26
[¿¼ÑÐ] 323Çóµ÷¼Á +8 Àî¼ÑÀÖ1 2026-04-04 8/400 2026-04-04 22:26 by hemengdong
[¿¼ÑÐ] 341Çóµ÷¼Á +3 Âå¶àÂÞ 2026-04-02 4/200 2026-04-04 21:36 by ÖÇÄÜÖÇ»Û
[¿¼ÑÐ] 316Çóµ÷¼Á +9 Ä«³½_Orion926 2026-04-04 9/450 2026-04-04 21:35 by lbsjt
[¿¼ÑÐ] 320µ÷¼Á +4 ũҵ¹¤³ÌÓëÐÅÏ¢¼ 2026-04-03 4/200 2026-04-03 21:40 by lbsjt
[¿¼ÑÐ] ±¾¿Æ985£¬×¨Òµ0812·Ö336Çóµ÷¼Á +4 ĪĪºÜÐÐ 2026-04-03 4/200 2026-04-03 21:31 by zhq0425
[¿¼ÑÐ] 322Çóµ÷¼Á +4 FZAC123 2026-04-03 4/200 2026-04-03 20:55 by zhq0425
[¿¼ÑÐ] ¿¼Ñе÷¼Á +8 ²»°®ºÈÒûÁÏ 2026-04-03 8/400 2026-04-03 16:40 by Mistake-J
[¿¼ÑÐ] 338Çóµ÷¼Á +4 zzz£¬£¬r 2026-04-03 4/200 2026-04-03 16:39 by lijunpoly
[¿¼ÑÐ] 293Çóµ÷¼Á +5 ĩδmm 2026-04-02 6/300 2026-04-03 15:20 by Íõ±£½Ü33
[¿¼ÑÐ] 286Çóµ÷¼Á +7 Faune 2026-03-30 7/350 2026-04-03 10:14 by linyelide
[¿¼ÑÐ] 261ÇóBÇøµ÷¼Á +5 Ã÷×С¤ 2026-04-01 7/350 2026-04-02 11:17 by ×Þξξ
[¿¼ÑÐ] 070300»¯Ñ§×¨Òµ279µ÷¼Á +10 ¹þ¹þ¹þ^_^ 2026-03-31 10/500 2026-03-31 23:13 by liu823948201
ÐÅÏ¢Ìáʾ
ÇëÌî´¦ÀíÒâ¼û