| ²é¿´: 1367 | »Ø¸´: 16 | |
1314168apple½ð³æ (ÖªÃû×÷¼Ò)
|
[ÇóÖú]
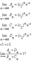
ÓÐ¹Ø ÊýÁм«ÏÞ µÄ ¼«ÏÞ ÎÊÌâ
|
![]() |
|
|
|
|
ÇïÓê·ÉҶľ³æ (СÓÐÃûÆø)
|
|
|
2Â¥2012-11-01 19:25:41
|
|
1314168apple½ð³æ (ÖªÃû×÷¼Ò)
|
|
![]() |
|
|
3Â¥2012-11-01 19:49:41
|
|
1314168apple½ð³æ (ÖªÃû×÷¼Ò)
|
|
![]() |
|
|
4Â¥2012-11-01 20:06:14
|
|
archdevilÌú¸Ëľ³æ (ÕýʽдÊÖ)
|
|
![]() |
|
|
5Â¥2012-11-02 00:01:05
|
|
yegong5681ľ³æ (³õÈëÎÄ̳)
|
|
![]() |
|
|
6Â¥2012-11-02 10:07:59
|
|
ÇïÓê·ÉҶľ³æ (СÓÐÃûÆø)
|
|
|
7Â¥2012-11-02 11:35:24
|
|
1314168apple½ð³æ (ÖªÃû×÷¼Ò)
|
|
![]() |
|
|
8Â¥2012-11-02 12:21:21
|
|
ÇïÓê·ÉҶľ³æ (СÓÐÃûÆø)
|
|
|
9Â¥2012-11-02 14:31:19
|
|
soliton923Ìú¸Ëľ³æ (Ö°Òµ×÷¼Ò)
Êýѧ´å´å³¤
|
|
![]() |
|
|
10Â¥2012-11-02 15:55:03
|
|













»Ø¸´´ËÂ¥