| 查看: 794 | 回复: 2 | |
花落流水木虫 (正式写手)
|
[求助]
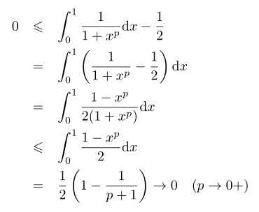
一道定积分极限证明题不会做,求高手
|
![]() |
|
|
|
|
Pchief铁杆木虫 (正式写手)
|
|
|
2楼2012-08-15 09:48:07
|
|
|
3楼2012-08-17 07:03:04
|
|













回复此楼