| ²é¿´: 3294 | »Ø¸´: 7 | ||
[½»Á÷]
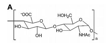
ÁòËáßÇßò·¨ÓëÁòËá±½·Ó·¨µÄÇø±ð£¿
|
||
» ±¾Ö÷ÌâÏà¹Ø¼ÛÖµÌùÍÆ¼ö£¬¶ÔÄúͬÑùÓаïÖú:
Çó±½·Ó£¨´¿Æ·£©º¬Á¿µÄ²âÊÔ·½·¨?
ÒѾÓÐ5È˻ظ´
¶àÌÇ ºÍ ×ÜÌÇ µÄ²â¶¨ÓÐʲô²»Í¬
ÒѾÓÐ9È˻ظ´
¹ØÓÚÁòËáÈí¹ÇËØÎÊÌâ
ÒѾÓÐ6È˻ظ´
±½·ÓÁòËá·¨²â¶¨¶àÌǺ¬Á¿µÄ¼ÆË㹫ʽ
ÒѾÓÐ5È˻ظ´
»¹ÊÇÓйر½·ÓÁòËá·¨²âÌǵÄÎÊÌâ~~
ÒѾÓÐ20È˻ظ´
ÝìͪÁòËá·¨²â¶àÌǺ¬Á¿
ÒѾÓÐ7È˻ظ´
ÁòËáÝìͪ·¨²âÓñÃ×µí·Ûº¬Á¿
ÒѾÓÐ9È˻ظ´
ÇóÖú ÁòËᡪ¡ª±½·Ó·¨²â¶àÌÇŨ¶È
ÒѾÓÐ3È˻ظ´
±½·ÓÁòËá·¨²â×ÜÌÇʱÑùƷǰ´¦ÀíÎÊÌâ
ÒѾÓÐ5È˻ظ´
±½·ÓÁòËá·¨Öеı½·Ó±ØÐëÖØÕôÂð
ÒѾÓÐ7È˻ظ´
±½·ÓÁòËá·¨Ò»¸öÎÊÌâµÄÌÖÂÛ
ÒѾÓÐ4È˻ظ´
ßÇßòÑÜÉúÎ¡ªÔÚßÇßò½ÓÒÒõ£±ûͪµÄºÏ³É·½·¨
ÒѾÓÐ8È˻ظ´
ÁòËá±½·Ó·¨²â¶¨¶àÌǺ¬Á¿ÖÐÁ¿µÄÎÊÌâ
ÒѾÓÐ15È˻ظ´
ÇóÖú£¬ÐÂÏʺìÔæ¶àÌǵIJⶨ·½·¨£¿£¿£¿£¿
ÒѾÓÐ15È˻ظ´
¡¾ÌÖÂÛ¡¿±½·ÓÁòËá·¨½»Á÷
ÒѾÓÐ26È˻ظ´
¡¾ÌÖÂÛ¡¿´ó¼ÒÌÖÂÛһϣ¬Óñ½·Ó-ÁòËá·¨²â¶àÌÇ
ÒѾÓÐ21È˻ظ´
¡¾ÇóÖú¡¿¶àÌÇ´¿»¯¡¢¼ì²â¼°·Ö×ÓÁ¿²â¶¨
ÒѾÓÐ7È˻ظ´
¡¾ÇóÖú¡¿±½·Ó£ÁòËá·¨²â¶àÌÇʱ£¬ÎªÊ²Ã´Å¨¶ÈµÍʱ»á³ÊºÜÉîµÄ»ÒÂÌÉ«£¿¼±~~~~~
ÒѾÓÐ8È˻ظ´
» ÇÀ½ð±ÒÀ²£¡»ØÌû¾Í¿ÉÒԵõ½:
±¬ Ãû¶î¶à ºÓ±±´óѧÕÐÊÕÉúÎïÓëҽҩרҵµ÷¼Á¿¼Éú
+2/90
Î人´óѧÓëÕã½Ê¦·¶´óѧ/Î人¹¤³Ì´óѧÁªºÏÅàÑøË¶Ê¿Ñо¿Éúµ÷¼ÁÕÐÉú
+1/88
ºþÄϹ¤Òµ´óѧÖܹóÒú×éÕÐÉúÎïҽѧ¹¤³Ì£¨Ñ§Ë¶07¡¢08¶¼ÐУ©ºÍÉúÎïÓëÒ½Ò©£¨×¨Ë¶08£©Ë¶Ê¿Éú
+1/87
ÅÊÖ¦»¨Ñ§Ôº´óÁ¿ÕÐÊÕµ÷¼Á£º²ÄÁÏ¿ÆÑ§Ó빤³Ì(ѧ˶£º0805)ºÍ²ÄÁϹ¤³Ì£¨×¨Ë¶£º0856£©
+1/57
»¶Ó²ÄÁÏ¡¢»¯¹¤¡¢ÁÖÒµ¹¤³ÌµÈÏà¹Ø·½ÏòѧÉú±¨¿¼/µ÷¼Á ¸£½¨Å©ÁÖ´óѧ
+1/37
»ª¶«Ê¦·¶´óѧÎïÀí»¯Ñ§×¨Òµ2026¼¶²©Ê¿Ñо¿ÉúÕÐÉú£¨µÚ¶þÅú£©
+1/36
ÁëÄÏʦ·¶Ñ§ÔºÉúÎïÓëҽҩרҵ£¨ÉúÎï¼¼ÊõÓ빤³ÌÁìÓò£©2026Äêµ÷¼Á¹«¸æ
+1/22
ºÓ±±´óѧ·ÖÎö»¯Ñ§ÕÐÊÕ¶àÃûµ÷¼Á¿¼Éú
+2/18
Çà¿Æ´ó½ÓÊÕ²ÄÁÏÀà¡¢»¯¹¤»¯Ñ§Ààµ÷¼ÁÑо¿Éú£¨Ð뿼Êýѧ£©
+1/18
Öйúũҵ´óѧ×ÊÔ´Óë»·¾³Ñ§Ôº - ÕÐÆ¸½Ü³öÈ˲ţ¨½ÌÊÚ-ר¼¼Ëļ¶£©¡¢ÇàÄêÑо¿Ô±£¨¸±½ÌÊÚ-×
+1/8
ÄÏ·½¿Æ¼¼´óѧ΢µç×ÓѧԺ³ÂÅô½ÌÊÚÕÐÊÕ2026¼¶²©Ê¿Éú£¨µÚ¶þÅú£©
+1/7
ÑĮ̀´óѧ¾«×¼²ÄÁϸߵÈÑо¿Ôº26Äê²ÄÁÏ·½ÏòÑо¿ÉúÕÐÉú
+1/7
ÖØÇìÈýÏ¿¿Æ¼¼´óѧ¹âÏË´«¸Ð¿ÎÌâ×éÕе÷¼Á˶ʿÑо¿Éú£¨3.30£©
+1/6
²»´ò¿¨-µ¯ÐÔ¹¤×÷ÖÆ¿ÎÌâ×éÕÐÉú
+1/5
¹þ¶û±õ¹¤³Ì´óѧ¶¯Á¦Ñ§ÔºÕÔ½¨»ÔÍŶÓÕÐÊÕ2026²©Ê¿Ñо¿Éú
+1/4
º¼ÖÝʦ·¶´óѧ-Õã½Ê¡ÊªµØÖǻۼà²âÓëÉú̬ÐÞ¸´ÖصãʵÑéÊÒÍŶÓ˶ʿµ÷¼Á¹«¸æ
+1/4
ÆëÆë¹þ¶û´óѧÀîÀò¿ÎÌâ×é³ÏÕÐ2026¼¶¿¼Ñе÷¼ÁÉú£¨Ñ§Ë¶ºÍר˶£©
+1/4
Î÷¹¤´óº£ÑóÑо¿ÔºÕÐÊÕ΢³ß¶È´«ÈÈ·½Ïò²©Ê¿ºó1Ãû
+1/3
Î÷°²¹¤³Ì´óѧ»·¾³Ó뻯ѧ¹¤³ÌѧԺÀÏʦÕÐÓлúѧÉúµ÷¼Á~
+1/2
2026Ä꺣ÑóÓëÉúÃüѧ¿ÆË¶Ê¿Ñо¿Éúµ÷¼Á--ÕÂÔ¾Áê¿ÎÌâ×é
+2/2
2Â¥2012-07-14 09:49:42
4Â¥2012-07-14 10:54:26
5Â¥2012-07-17 08:41:14
6Â¥2013-08-23 10:13:10
7Â¥2014-05-23 16:53:59
¡ï
Сľ³æ: ½ð±Ò+0.5, ¸ø¸öºì°ü£¬Ð»Ð»»ØÌû
Сľ³æ: ½ð±Ò+0.5, ¸ø¸öºì°ü£¬Ð»Ð»»ØÌû
|
Â¥Ö÷Õâ¸öÎÊÌâºÜºÃ£¬Ò²ºÜÓÐÉî¶È¡£±¾ÈËĿǰҲÔÚ¾À½áÕâ¸öÎÊÌ⣬ºâÁ¿Ò»¸ö¶àÌǵķḻµ½µ×ÊÇÓÃÌÇÈ©ËỹÊÇÓñ½·ÓÁòËá·¨²â¶¨µÄ×ÜÌÇÀ´±íʾ ·¢×ÔСľ³æAndroid¿Í»§¶Ë |
8Â¥2016-05-19 01:10:13
¼òµ¥»Ø¸´
luojinyan3Â¥
2012-07-14 10:46
»Ø¸´














»Ø¸´´ËÂ¥