24СʱÈÈÃŰæ¿éÅÅÐаñ    

Znn3bq.jpeg
ÉÇÍ·´óѧº£Ñó¿ÆÑ§½ÓÊܵ÷¼Á
²é¿´: 875  |  »Ø¸´: 2
µ±Ç°Ö»ÏÔʾÂú×ãÖ¸¶¨Ìõ¼þµÄ»ØÌû£¬µã»÷ÕâÀï²é¿´±¾»°ÌâµÄËùÓлØÌû

zmbh4538

гæ (СÓÐÃûÆø)

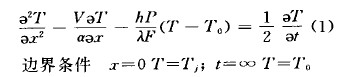
[ÇóÖú] ÇóÖúÒ»¸öƫ΢·Ö·½³ÌµÄÇó½â¹ý³Ì¡¢»òÕßÈí¼þ¼ÆËã¹ý³Ì¡£

ÇóÖúÒ»¸öƫ΢·Ö·½³ÌµÄÇó½â¹ý³Ì¡¢»òÕßÈí¼þ¼ÆËã¹ý³Ì¡£

·½³Ì



½á¹û
»Ø¸´´ËÂ¥

» ²ÂÄãϲ»¶

» ±¾Ö÷ÌâÏà¹Ø¼ÛÖµÌùÍÆ¼ö£¬¶ÔÄúͬÑùÓаïÖú:

ÒÑÔÄ   »Ø¸´´ËÂ¥   ¹Ø×¢TA ¸øTA·¢ÏûÏ¢ ËÍTAºì»¨ TAµÄ»ØÌû

jiahl

½ð³æ (СÓÐÃûÆø)

¡¾´ð°¸¡¿Ó¦Öú»ØÌû

ºÃ¶àÈí¼þ¶¼¿ÉÒÔ½âÆ«Î¢·Ö·½³Ì£¬µ«ÊǾßÌ嵽ij¸ö·½³Ì£¬Òª¿´·½³ÌµÄÀàÐÍ¡£¿ÉÒÔ¿´¿´Matlab, flexpde,comsolµÈÈí¼þ¡£
Òµ¾«ÓÚÇÚ »ÄÓÚæÒ ÐгÉÓÚ˼ »ÙÓÚËæ
3Â¥2011-12-09 16:26:30
ÒÑÔÄ   »Ø¸´´ËÂ¥   ¹Ø×¢TA ¸øTA·¢ÏûÏ¢ ËÍTAºì»¨ TAµÄ»ØÌû
²é¿´È«²¿ 3 ¸ö»Ø´ð

linux°®ºÃÕß

гæ (СÓÐÃûÆø)

¡¾´ð°¸¡¿Ó¦Öú»ØÌû

ÎÒÒ²ÏëÖªµÀ£¬×øµÈ´ð°¸¡£
ÎÒÊǼÆËã»ú°®ºÃÕß~£¡
2Â¥2011-12-08 19:04:33
ÒÑÔÄ   »Ø¸´´ËÂ¥   ¹Ø×¢TA ¸øTA·¢ÏûÏ¢ ËÍTAºì»¨ TAµÄ»ØÌû
×î¾ßÈËÆøÈÈÌûÍÆ¼ö [²é¿´È«²¿] ×÷Õß »Ø/¿´ ×îºó·¢±í
[¿¼ÑÐ] µ÷¼ÁÇóÊÕÁô +31 ¹ûÈ»ÓÐÎÒ 2026-04-10 32/1600 2026-04-13 21:35 by gretl
[½Ìʦ֮¼Ò] ת³¤Æ¸ÁË +3 ¼òµ¥»¯xn 2026-04-13 3/150 2026-04-13 14:18 by wwwkkk83
[¿¼ÑÐ] 0854µ÷¼Á +10 ³¤¹­°Á 2026-04-11 11/550 2026-04-13 10:38 by wp06
[¿¼ÑÐ] ÉúÎïѧ308·ÖÇóµ÷¼Á£¨Ò»Ö¾Ô¸»ª¶«Ê¦´ó£©×ö¹ý·Ö×ÓʵÑé +9 ÏàÐűػá¹ââÍòÕ 2026-04-07 10/500 2026-04-13 10:20 by ¿Éµ­²»¿ÉÍü
[¿¼ÑÐ] µç×ÓÐÅÏ¢270Çóµ÷¼Á +18 terminal469 2026-04-07 18/900 2026-04-12 16:23 by ajpv·çÀ×
[¿¼ÑÐ] 339Çóµ÷¼Á +8 hanwudada 2026-04-11 9/450 2026-04-12 15:36 by laoshidan
[¿¼ÑÐ] ²ÄÁÏÓ뻯¹¤300Çóµ÷¼Á +39 Ф¿ªÎÄ 2026-04-09 43/2150 2026-04-12 01:30 by Çï¶¹²ËÑ¿
[¿¼ÑÐ] Ò»Ö¾Ô¸Ïôó0856£¬306Çóµ÷¼Á +15 Bblinging 2026-04-11 15/750 2026-04-11 22:53 by 314126402
[¿¼ÑÐ] 296Çóµ÷¼Á +14 Íô£¡£¿£¡ 2026-04-08 15/750 2026-04-11 20:28 by dongdian1
[¿¼ÑÐ] 0854µ÷¼Á +5 ÒôÏñµêÌý»¨¹ÄÏ· 2026-04-10 5/250 2026-04-11 10:49 by qingpingzhu
[¿¼ÑÐ] Ò»Ö¾Ô¸985»úеѧ˶380Çóµ÷¼Á +5 ¹Ø¹ØöÂð¯10 2026-04-11 5/250 2026-04-11 10:10 by ÖªÄî¡£A
[¿¼ÑÐ] ¼ÆËã»úÀàÇóµ÷¼Á£¬22408-274·Ö +7 Éϰ¶deС³æ 2026-04-09 8/400 2026-04-10 19:56 by fxue1114
[¿¼ÑÐ] ÖпÆÔº×Ü·Ö315Çóµ÷¼Á +8 lallalh 2026-04-09 8/400 2026-04-10 19:30 by dick_runner
[¿¼ÑÐ] 287Çóµ÷¼Á +15 Fnhc 2026-04-07 21/1050 2026-04-10 19:09 by chemisry
[¿¼ÑÐ] 301Çóµ÷¼Á +5 149. 2026-04-10 5/250 2026-04-10 15:45 by ²ñС°×
[¿¼ÑÐ] ¿¼Ñе÷¼Á-²ÄÁÏÀà-284 +28 Ïë»»ÊÖ»ú²»Ïë½âÊ 2026-04-08 28/1400 2026-04-09 20:08 by µ¹Êý321?
[¿¼ÑÐ] ²ÄÁÏ307·ÖÇó´óÀÐ×éÊÕÁô +17 Hllºú 2026-04-07 17/850 2026-04-09 10:53 by liuhuiying09
[¿¼ÑÐ] ÉúÎïѧѧ˶£¬³õÊÔ351·Ö£¬Çóµ÷¼Á +4 ¡­¡«¡¢Íõ¡­¡« 2026-04-08 5/250 2026-04-08 21:49 by limeifeng
[¿¼ÑÐ] µç×ÓÐÅÏ¢346 +4 zuoshaodian 2026-04-08 4/200 2026-04-08 11:54 by zzucheup
[¿¼ÑÐ] 259Çóµ÷¼Á +5 ¾Í°®³ÔÍÁ¶¹Ñ½Ñ½ 2026-04-07 5/250 2026-04-07 22:40 by JourneyLucky
ÐÅÏ¢Ìáʾ
ÇëÌî´¦ÀíÒâ¼û