版块导航
正在加载中...
客户端APP下载
论文辅导
申博辅导
登录
注册
帖子
帖子
用户
本版
应《网络安全法》要求,自2017年10月1日起,未进行实名认证将不得使用互联网跟帖服务。为保障您的帐号能够正常使用,请尽快对帐号进行手机号验证,感谢您的理解与支持!
24小时热门版块排行榜
>
论坛更新日志
(2751)
>
虫友互识
(259)
>
文献求助
(180)
>
导师招生
(157)
>
考博
(111)
>
休闲灌水
(71)
>
论文投稿
(52)
>
论文道贺祈福
(45)
>
硕博家园
(37)
>
博后之家
(35)
>
基金申请
(33)
>
教师之家
(30)
>
公派出国
(23)
>
招聘信息布告栏
(22)
>
考研
(21)
>
找工作
(20)
小木虫论坛-学术科研互动平台
»
专业学科区
»
数学
»
基础数学
»
【求助】这个泰勒展开式怎么来的?
3
1/1
返回列表
查看: 611 | 回复: 2
只看楼主
@他人
存档
新回复提醒
(忽略)
收藏
在APP中查看
yhyffrshuh
木虫
(正式写手)
应助: 2
(幼儿园)
金币: 1926.8
帖子: 807
在线: 492.1小时
虫号: 427865
[交流]
【求助】这个泰勒展开式怎么来的?
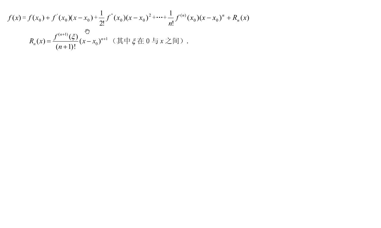
这个泰勒级数怎么展开的啊?下图中h
T
是转置;
——其中H是海赛矩阵;g是梯度,g=F‘(x)
F(x+h)表示F(x)的泰勒级数在h处展开?
泰勒级数展开应该是这样的啊
[
Last edited by yhyffrshuh on 2011-4-3 at 22:58
]
回复此楼
» 猜你喜欢
存款400万可以在学校里躺平吗
已经有26人回复
拟解决的关键科学问题还要不要写
已经有8人回复
最失望的一年
已经有7人回复
推荐一本书
已经有16人回复
国自然申请面上模板最新2026版出了吗?
已经有20人回复
26申博
已经有3人回复
请教限项目规定
已经有3人回复
基金委咋了?2026年的指南还没有出来?
已经有10人回复
基金申报
已经有6人回复
疑惑?
已经有5人回复
高级回复
» 本主题相关价值贴推荐,对您同样有帮助:
快考试了~虫子们,加油哈~笃信努力终成王,势若骏马奔平川
已经有52人回复
关于泰勒展开式的问题
已经有10人回复
关于随机信号是否能够用泰勒级数展开的问题
已经有3人回复
如何Taylor展开
已经有3人回复
浙大生物考研求助
已经有9人回复
多元函数泰勒公式
已经有5人回复
求函数的泰勒级数展开
已经有3人回复
这个泰勒公式怎么考啊?
已经有6人回复
静电纺丝 泰勒锥为什么不稳定,并且丝容易漂移,有部分丝不能达到接收器上
已经有16人回复
arctan x收敛疑问
已经有9人回复
求助 一阶线性偏微分方程 拉格朗日法求解
已经有6人回复
泰勒公式的问题!多项式怎么敢逼近一个函数 ,多项式与函数的关系
已经有7人回复
【求助】泰勒展式与麦克劳林展式的本质区别
已经有15人回复
【求助】请问泰勒展开式跟坐标有关系吗
已经有5人回复
【求助】复合函数的泰勒公式怎么展开啊?
已经有7人回复
【求助】如何证明函数为有界函数
已经有14人回复
» 抢金币啦!回帖就可以得到:
查看全部散金贴
大龄博士征婚
+
1
/617
南京大学能源与资源学院-景旭东教授 (英国皇家工程院院士) 团队博士后招聘
+
1
/473
南京大学智能驱动与感知材料实验室诚招硕士/科研助理
+
1
/271
柔性电子全国重点实验室(南邮)诚聘博士后(长期有效)
+
2
/110
哈尔滨工业大学王东博课题组/中科院上海微系统所梁丽娟课题组招收2026年博士生1名
+
1
/79
双一流南京医科大学招计算机、AI、统计、生物信息等方向26年9月入学博士
+
1
/74
[长期合作招募] 同济大学肖倩老师团队诚邀港澳学者学术交流
+
1
/58
香港理工大学招收电力系统优化及运筹学博士后
+
1
/55
智合健物课题组2026年博士生招生(湖北工业大学)
+
1
/33
2026申博自荐 本硕双一流学科 纳米药物递送方向 一篇一区TOP 两个国家奖学金
+
1
/22
浙江大学信息光子材料与器件实验室诚聘博士后、科研助理
+
1
/16
哈尔滨工业大学(深圳)-包斌招收2026年博士研究生及博士后
+
1
/15
山东理工大学资源与环境工程学院陶东平教授课题组招收2026级博士研究生
+
1
/9
南京邮电大学-材料院尹超教授课题组-诚聘材料、化学、生物医学博士后(长期有效)
+
1
/8
2026 年南方医科大学基础医学院李琳课题组招收“申请-审核” 博士研究生
+
1
/6
紧急招博士生报考
+
1
/3
中国地质大学(武汉)材化学院招收2026年材料科学与工程专业博士研究生
+
1
/3
博士后招聘(高薪40万+)
+
1
/1
中科院理化所热声热机团队招聘电气工程专业(电机方向)博士后/特别研究助理
+
1
/1
香港科技大学(广州) 招强化学习、机器人、具身智能方向等方向硕博
+
1
/1
1楼
2011-04-03 22:44:02
已阅
回复此楼
关注TA
给TA发消息
送TA红花
TA的回帖
pengyehui
木虫
(正式写手)
数学EPI: 3
应助: 15
(小学生)
贵宾: 0.03
金币: 4215.2
帖子: 510
在线: 190.6小时
虫号: 462928
yhyffrshuh(金币+5): 2011-04-04 10:49:20
yhyffrshuh(金币+5): 谢谢相助! 2011-04-04 11:48:57
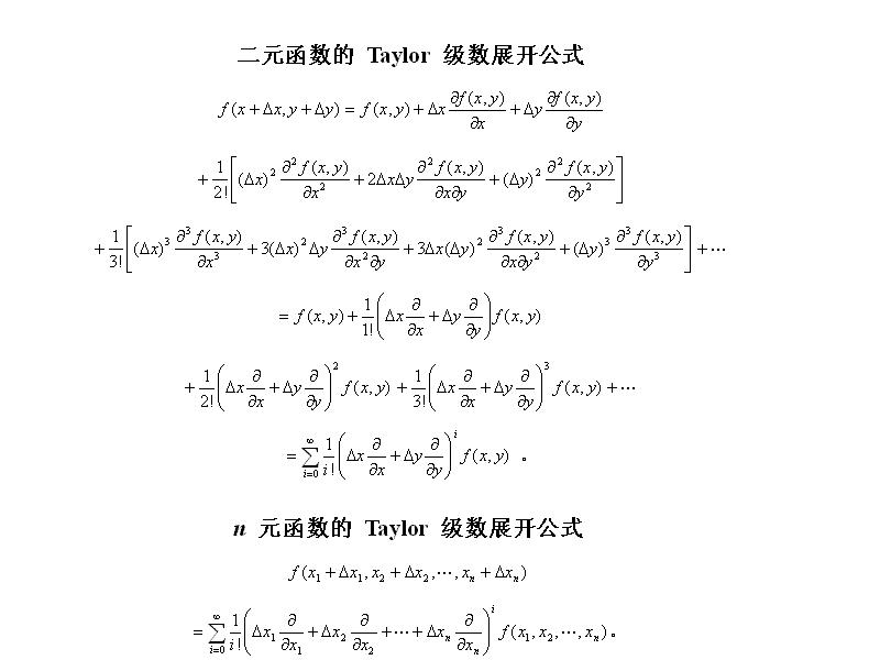
这是多维函数的泰勒展开,是在x处展开,不是在h处
赞
一下
回复此楼
2楼
2011-04-04 07:58:14
已阅
回复此楼
关注TA
给TA发消息
送TA红花
TA的回帖
yhyffrshuh
木虫
(正式写手)
应助: 2
(幼儿园)
金币: 1926.8
帖子: 807
在线: 492.1小时
虫号: 427865
引用回帖:
Originally posted by
pengyehui
at 2011-04-04 07:58:14:
这是多维函数的泰勒展开,是在x处展开,不是在h处
谢谢楼上的!
供需要的虫子们参考,详解如下:
[
Last edited by yhyffrshuh on 2011-4-4 at 11:47
]
赞
一下
回复此楼
3楼
2011-04-04 10:54:53
已阅
回复此楼
关注TA
给TA发消息
送TA红花
TA的回帖
相关版块跳转
数理科学综合
机械
物理
数学
农林
食品
地学
能源
信息科学
土木建筑
航空航天
转基因
我要订阅楼主
yhyffrshuh
的主题更新
3
1/1
返回列表
如果回帖内容含有宣传信息,请如实选中。否则帐号将被全论坛禁言
普通表情
龙
兔
虎
猫
高级回复
(可上传附件)
百度网盘
|
360云盘
|
千易网盘
|
华为网盘
在新窗口页面中打开自己喜欢的网盘网站,将文件上传后,然后将下载链接复制到帖子内容中就可以了。
信息提示
关闭
请填处理意见
关闭
确定