版块导航
正在加载中...
客户端APP下载
论文辅导
申博辅导
登录
注册
帖子
帖子
用户
本版
应《网络安全法》要求,自2017年10月1日起,未进行实名认证将不得使用互联网跟帖服务。为保障您的帐号能够正常使用,请尽快对帐号进行手机号验证,感谢您的理解与支持!
24小时热门版块排行榜
>
论坛更新日志
(3298)
>
文献求助
(324)
>
虫友互识
(317)
>
导师招生
(294)
>
休闲灌水
(151)
>
论文投稿
(149)
>
考博
(139)
>
基金申请
(82)
>
硕博家园
(78)
>
博后之家
(64)
>
论文道贺祈福
(50)
>
教师之家
(47)
>
招聘信息布告栏
(41)
>
绿色求助(高悬赏)
(31)
>
公派出国
(31)
>
找工作
(30)
小木虫论坛-学术科研互动平台
»
专业学科区
»
数学
»
基础数学
»
【求助】求助一个方程(两个变量的对应关系),非常感谢!
2
1/1
返回列表
查看: 402 | 回复: 1
只看楼主
@他人
存档
新回复提醒
(忽略)
收藏
在APP中查看
小兰花
银虫
(著名写手)
应助: 2
(幼儿园)
金币: 3466.3
帖子: 1927
在线: 935.3小时
虫号: 501372
[交流]
【求助】求助一个方程(两个变量的对应关系),非常感谢!
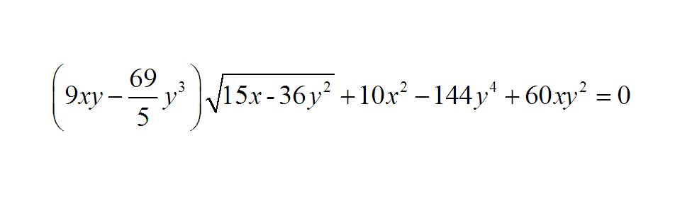
已知 x, y 的关系式见 附图公式。
请高手帮求解这个方程,非常感谢!
回复此楼
» 猜你喜欢
拟解决的关键科学问题还要不要写
已经有8人回复
求推荐英文EI期刊
已经有5人回复
最失望的一年
已经有8人回复
存款400万可以在学校里躺平吗
已经有27人回复
请教限项目规定
已经有4人回复
推荐一本书
已经有16人回复
国自然申请面上模板最新2026版出了吗?
已经有20人回复
26申博
已经有3人回复
基金委咋了?2026年的指南还没有出来?
已经有10人回复
基金申报
已经有6人回复
高级回复
» 本主题相关价值贴推荐,对您同样有帮助:
【求助】matlab 求解微分方程中的未知参数
已经有20人回复
【求助】多元方程组求解及拟合
已经有9人回复
【求助】向各位大侠求助matlab求解微分方程组遇到的一个问题
已经有21人回复
【求助】请教一个关于Mathematica中计算小量的问题
已经有4人回复
【求助】MATLAB 有限差分法(FDM)求解偏微分方程
已经有22人回复
【求助】急请微分方程高手看下这个方程组!
已经有14人回复
【求助】在三维空间中有五个点,这五个点能否相互之间距离相等?非常感谢
已经有8人回复
【求助】一个二阶常微分方程的解法(重奖金币!)
已经有16人回复
【求助】求助--Bragg方程物理意义??
已经有4人回复
【求助】如何判断一个原子在原包内部
已经有4人回复
【求助】Weickert的各向异性扩散方程的滤波方法的matlab程序代码
已经有8人回复
» 抢金币啦!回帖就可以得到:
查看全部散金贴
大龄博士征婚
+
1
/617
浙江师范大学招收大气遥感、光学或人工智能方向的2026年物理学博士生1名
+
2
/306
招收2026年春-申请考核博士生-仿生组装/生物能源方向
+
1
/175
几个高校工作如何选择?
+
1
/87
南昌大学化学化工学院付拯江教授拟招收“申请-考核”制博士研究生
+
1
/78
扬州大学王赪胤教授课题组 2026级博硕士研究生生招生(电化学储能 / 光催化方向)
+
1
/77
[长期合作招募] 同济大学肖倩老师团队诚邀港澳学者学术交流
+
1
/57
香港理工大学招收电力系统优化及运筹学博士后
+
1
/55
广州,真诚找对象
+
1
/52
211双一流北京工业大学招计算机、AI、自动控制、电子信息等方向博士生(长期有效)
+
1
/40
[长期合作招募] 同济大学肖倩老师团队诚邀港澳学者学术交流
+
1
/34
智合健物课题组2026年博士生招生(湖北工业大学)
+
1
/32
华中农大生物催化组招26年博士:代谢工程、酵母工程、药学、有机、酶工程、计算模拟
+
1
/30
西南大学化学化工学院彭云贵教授课题组招有机化学博士研究生
+
2
/24
专科起点双非硕士,申博求建议
+
1
/21
2025版《中国药典》方法测定二甲基亚砜含量偏高
+
1
/17
北京工业大学高靓教授课题组2026级博士研究生招生
+
1
/10
Plant communications难度如何?
+
1
/8
2026 年南方医科大学基础医学院李琳课题组招收“申请-审核” 博士研究生
+
1
/5
山东大学(青岛校区)招博士后(COF\MOF\催化\电池)
+
1
/3
1楼
2011-01-08 22:48:07
已阅
回复此楼
关注TA
给TA发消息
送TA红花
TA的回帖
xxppyy
木虫
(小有名气)
数学EPI: 1
应助: 3
(幼儿园)
金币: 2855.4
帖子: 243
在线: 348.3小时
虫号: 19703
小兰花(金币+15):非常感谢你的帮忙! 2011-01-12 16:43:09
赞
一下
回复此楼
2楼
2011-01-09 07:26:27
已阅
回复此楼
关注TA
给TA发消息
送TA红花
TA的回帖
相关版块跳转
数理科学综合
机械
物理
数学
农林
食品
地学
能源
信息科学
土木建筑
航空航天
转基因
我要订阅楼主
小兰花
的主题更新
2
1/1
返回列表
如果回帖内容含有宣传信息,请如实选中。否则帐号将被全论坛禁言
普通表情
龙
兔
虎
猫
高级回复
(可上传附件)
百度网盘
|
360云盘
|
千易网盘
|
华为网盘
在新窗口页面中打开自己喜欢的网盘网站,将文件上传后,然后将下载链接复制到帖子内容中就可以了。
信息提示
关闭
请填处理意见
关闭
确定