| 查看: 1051 | 回复: 21 | |||
i维数木虫 (正式写手)
|
[求助]
一个恒成立问题及其生成的几个猜想 已有1人参与
|
||
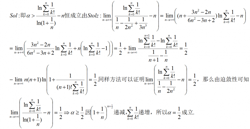
若 ) |
» 猜你喜欢
面上项目申报
已经有3人回复
有时候真觉得大城市人没有县城人甚至个体户幸福
已经有5人回复
酰胺脱乙酰基
已经有9人回复
CSC & MSCA 博洛尼亚大学能源材料课题组博士/博士后招生|MSCA经费充足、排名优
已经有5人回复
有70后还继续奋斗在职场上的吗?
已经有6人回复
博士延得我,科研能力直往上蹿
已经有7人回复
退学或坚持读
已经有27人回复
面上基金申报没有其他的参与者成吗
已经有5人回复
遇见不省心的家人很难过
已经有22人回复
» 本主题相关价值贴推荐,对您同样有帮助:
2015•中国(重庆)生物医药前沿技术与产业化发展研讨会在渝召开
已经有5人回复
Edstrayer
版主 (著名写手)
方寸斗室小天地正气迷漫大世界
- 数学EPI: 7
- 应助: 157 (高中生)
- 贵宾: 0.927
- 金币: 9349.6
- 散金: 4503
- 红花: 77
- 沙发: 2
- 帖子: 2745
- 在线: 1465.6小时
- 虫号: 3086598
- 注册: 2014-03-25
- 管辖: 数学

3楼2016-03-30 12:14:15
Edstrayer
版主 (著名写手)
方寸斗室小天地正气迷漫大世界
- 数学EPI: 7
- 应助: 157 (高中生)
- 贵宾: 0.927
- 金币: 9349.6
- 散金: 4503
- 红花: 77
- 沙发: 2
- 帖子: 2745
- 在线: 1465.6小时
- 虫号: 3086598
- 注册: 2014-03-25
- 管辖: 数学

2楼2016-03-30 11:48:33
i维数
木虫 (正式写手)
- 数学EPI: 4
- 应助: 74 (初中生)
- 金币: 3148.6
- 红花: 10
- 帖子: 691
- 在线: 941.9小时
- 虫号: 3691318
- 注册: 2015-02-17
- 性别: GG
- 专业: 偏微分方程
4楼2016-03-30 12:50:52
恋恋有心zxcv
金虫 (小有名气)
- 应助: 0 (幼儿园)
- 金币: 1661.8
- 红花: 1
- 帖子: 174
- 在线: 57小时
- 虫号: 4309686
- 注册: 2015-12-24
- 性别: GG
- 专业: 数学

5楼2016-03-30 13:20:46
i维数
木虫 (正式写手)
- 数学EPI: 4
- 应助: 74 (初中生)
- 金币: 3148.6
- 红花: 10
- 帖子: 691
- 在线: 941.9小时
- 虫号: 3691318
- 注册: 2015-02-17
- 性别: GG
- 专业: 偏微分方程
6楼2016-03-30 13:29:06
i维数
木虫 (正式写手)
- 数学EPI: 4
- 应助: 74 (初中生)
- 金币: 3148.6
- 红花: 10
- 帖子: 691
- 在线: 941.9小时
- 虫号: 3691318
- 注册: 2015-02-17
- 性别: GG
- 专业: 偏微分方程
7楼2016-03-30 13:29:34
hylpy
专家顾问 (知名作家)
唵嘛呢叭咪吽
-

专家经验: +2500 - 数学EPI: 7
- 应助: 381 (硕士)
- 贵宾: 0.167
- 金币: 51119
- 散金: 5568
- 红花: 410
- 帖子: 5093
- 在线: 1102.4小时
- 虫号: 3247778
- 注册: 2014-06-01
- 性别: GG
- 专业: 函数论
- 管辖: 数学

8楼2016-03-30 13:42:05
Edstrayer
版主 (著名写手)
方寸斗室小天地正气迷漫大世界
- 数学EPI: 7
- 应助: 157 (高中生)
- 贵宾: 0.927
- 金币: 9349.6
- 散金: 4503
- 红花: 77
- 沙发: 2
- 帖子: 2745
- 在线: 1465.6小时
- 虫号: 3086598
- 注册: 2014-03-25
- 管辖: 数学

9楼2016-03-30 13:47:42
i维数
木虫 (正式写手)
- 数学EPI: 4
- 应助: 74 (初中生)
- 金币: 3148.6
- 红花: 10
- 帖子: 691
- 在线: 941.9小时
- 虫号: 3691318
- 注册: 2015-02-17
- 性别: GG
- 专业: 偏微分方程
10楼2016-03-30 13:49:13













)
回复此楼